Buenas noches. Solo quería agradecer a David Calle el trabajo que realiza con sus vídeos y explicaciones. El día 6 de junio con 41 años he aprobado bachillerato, que para mí ha sido algo muy importante después de un esfuerzo de dos años. Gracias por lo bien que lo haces y lo ameno y sencillo que parece . Practicar y practicar y aprobaréis.
Hola, necesito ayuda por favor. Tengo un problema que no tengo ni idea de como empezar
Construye una tabla de doble entrada y sus tablas de frecuencias marginelaes de esos datos.
(1,2) (1,3) (1,1) (2,2) (3,1) (1,1) (3,3) (2,1) (2,1) (3,2)
Gracias de antemano

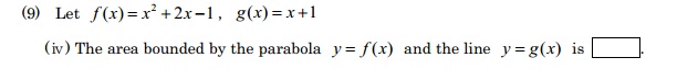
Resuelves el sistema formado por las ecuaciones de las dos curvas, y tienes que la parábola y la recta se cortan en los puntos: A(-2,-1) y B(1,2), por lo que el intervalo de integración queda: [-2,1].
Luego, considera un valor interior del intervalo, por ejemplo: x = 0, y tienes que el punto correspondiente en la recta es: R(0,1), y que el punto correspondiente en la parábola es: P(0,-1) y, si haces un gráfico cartesiano, verás que la región definida por las dos curvas está limitada superiormente por un tramo de recta, e inferiormente por un tramos de parábola.
Luego, la expresión del área de la región queda:
A = -2∫1 ( (x+1) - (x2+2*x-1) )*dx = resuelves el argumento, y queda:
= -2∫1 (-x2 - x + 2)*dx = integras (indicamos con corchetes que debes evaluar con Regla de Barrow), y queda:
= [ -x3/3 - x2/2 + 2*x ] = evalúas, y queda:
= (-1/3 - 1/2 + 2) - (8/3 - 2 - 4) =
= 1/6 - (-10/3) = 7/2.
Espero haberte ayudado.
Tengo examen mañana y no entiendo este ejercicio:
Calcular M para que la funcion sea de densidad.
mx x ∈ [0,4]
0 x∉ [0,4]

Recuerda que las funciones de densidad toman valores positivos, y que su integral desde -infinito hasta +infinito es igual a 1, por lo que puedes plantear:
-∞∫+∞ f(x)*dx = 1;
desarrollas la integral impropia del primer miembro, y queda:
-∞∫0 0*dx + 0∫4 m*x*dx + 4∫+∞ 0*dx = 1,
cancelas términos nulos, y queda:
0∫4 m*x*dx = 1,
resuelves la integral (observa que puedes extraer la constante m, y que indicamos con corchetes que debes evaluar con Regla de Barrow), y queda:
m * [ x2/2 ] = 1,
evalúas, y queda:
m * ( 8 - 0 ) = 1,
cancelas el término en el agrupamiento, divides por 8 en ambos miembros, y queda:
m = 1/8;
luego, la expresión de la función de densidad queda:
f(x) =
(1/8)*x x ∈ [0,4],
0 x ∉ [0,4].
Espero haberte ayudado.