Foro de preguntas y respuestas de Matemáticas

logo beUnicoos
Los foros de unicoos se han unificado en nuestra nueva plataforma beUnicoos. Para dejar nuevas preguntas deberás hacerlo allí, donde además podrás encontrar nuevas asignaturas y herramientas para ayudarte más con tus estudios.

  • icon

    JUAN FIGUEIRA
    el 14/6/18

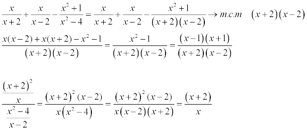
        Buenas tardes amigos,tengo la duda de como resolver esta operación,  por favor si podría ser paso a paso lo agradecería bastante, un saludo. 

    replythumb_up0 voto/sflag
    icon

    Carlos Fernández
    el 15/6/18


    thumb_up1 voto/sflag
  • Usuario eliminado
    el 14/6/18

    Como se haria esta función: y=3x-4

    replythumb_up0 voto/sflag
  • icon

    Angel Sanchez Serrano
    el 14/6/18

    Me podéis explicar en qué consiste la integración por el método de los 4 pasos? Y como se hacen las integrales irracionales 

    replythumb_up0 voto/sflag
    icon

    César
    el 14/6/18

    Dices derivación ?


    thumb_up1 voto/sflag
    icon

    Angel Sanchez Serrano
    el 14/6/18

    Integración


    thumb_up0 voto/sflag
  • icon

    Ginny Weasley
    el 14/6/18

    ¿Alguien me podría explicar paso a paso como se resuelve este ejercicio? De una manera que se entienda bien, por favor. Gracias.

    (Es el 2)

    replythumb_up0 voto/sflag
    icon

    Carlos Fernández
    el 15/6/18


    thumb_up0 voto/sflag
  • icon

    Ginny Weasley
    el 14/6/18

    Hola, tengo una pregunta muy simple. Por qué 3 elevado a x+2 se puede expresar también como 3 elevado a x más 3 elevado a 2? Y como podría simplificar 9 elevado a x si 9 es lo mismo que 3 elevado a 2? Gracias

    replythumb_up0 voto/sflag
    icon

    Daniel Alcalá
    el 14/6/18

    3 elevado a x+2 es 3 elevado a x por 3 elevado a 2, si quieres simplificarlo puedes poner 3 elevado a 2x. Un saludo

    thumb_up0 voto/sflag
  • icon

    Sheila Corrales Garcia
    el 14/6/18

    Hola otra vez! Y a resolver estas operaciones gracias 

    replythumb_up0 voto/sflag
    icon

    César
    el 14/6/18


    thumb_up1 voto/sflag
  • icon

    Sheila Corrales Garcia
    el 14/6/18

    Hola me podrian decir si esta bien; Gracias

    replythumb_up0 voto/sflag
    icon

    César
    el 14/6/18



    thumb_up1 voto/sflag
  • icon

    sandra
    el 14/6/18

    Hola, me podríais resolver este problema es una matriz no diagonalizable y se tiene que usar el método de Jordan pero no se como obtener la  matriz de paso P,  para aplicar D=P-1AP. Gracias.


    replythumb_up0 voto/sflag
    icon

    César
    el 14/6/18

    https://www.youtube.com/watch?v=B89HQUe69Sc


    thumb_up0 voto/sflag
  • icon

    andres
    el 14/6/18

    hola, no se como resolver este problema. no se como se relacionan los datos de f(x)

    replythumb_up0 voto/sflag
    icon

    Evaristo Galés
    el 14/6/18


    thumb_up0 voto/sflag