Foro de preguntas y respuestas de Matemáticas

logo beUnicoos
Los foros de unicoos se han unificado en nuestra nueva plataforma beUnicoos. Para dejar nuevas preguntas deberás hacerlo allí, donde además podrás encontrar nuevas asignaturas y herramientas para ayudarte más con tus estudios.

  • icon

    Andrea Latorre
    el 7/6/18

    Hola , me gustaria que me ayudaras con este problema, lo resolvi en un examen y me lo han corregido mal.

    Las calificaciones de los 500 aspirantes presentados a un examen para contratación laboral, se

    distribuye normalmente con media 6.5 y varianza 4.
    a) Calcule la probabilidad de que un aspirante obtenga más de 8 puntos.b) Determine la proporción de aspirantes con calificaciones inferiores a 5 puntos.

    c) ¿ Cuántos aspirantes obtuvieron calificaciones comprendidas entre 5 y 7.5 puntos ?.

    muchas gracias!
     a) me dio 0,2266 b) 0,2266 c) 232 aspirantes.estas son las respuestas que me dio

    replythumb_up0 voto/sflag
    icon

    Antonius Benedictus
    el 7/6/18


    thumb_up0 voto/sflag
    icon

    Antonius Benedictus
    el 7/6/18


    thumb_up0 voto/sflag
  • icon

    Elena Gómez
    el 7/6/18

    Buenas, me podrían revisar estos problemas

    1 Un helicóptero se halla suspendido a una altura de 1000 pies sobre la cumbre de una montaña que tiene 5210 pies de altitud. Desde esa cima y desde el helicóptero puede verse la cima de otra montaña más alta. Si desde el helicóptero el ángulo de depresión que se forma al observar la cima de montaña más alta es de 43° y desde la cima de la primera montaña el ángulo de elevación es de 18°. 

    (a) Calcule la distancia entre las cimas de las montañas.

    (b) Calcule la altura de la montaña más alta.

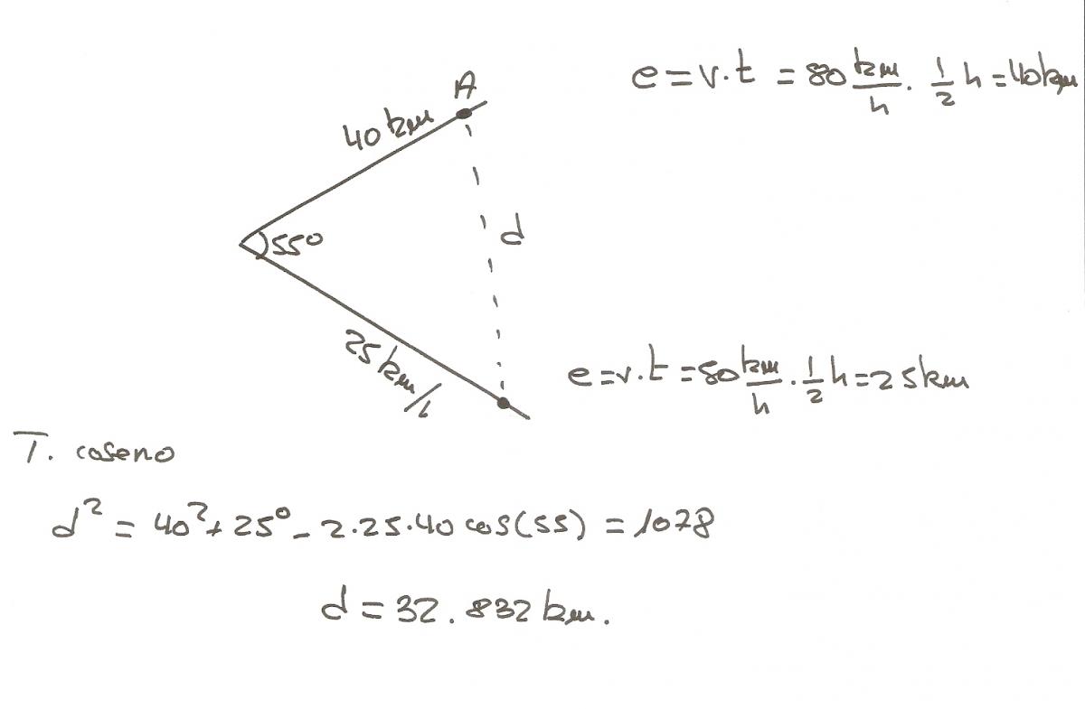
    2 Dos automóviles salen del mismo punto y viajan en línea recta (pero por diferentes caminos) durante 30 minutos a una velocidad de 80 km/h y 50 km/h respectivamente. Si las carreteras que cada uno usó están separadas por un ángulo de 55°, determine la distancia que separa los autos transcurrido ese tiempo.


    3 En la figura se muestra la vista desde arriba de un avión que se distingue por el diseño poco común de sus alas. En el croquis se muestran los datos relativos a las mismas. 

    (a) Calcule el ángulo 𝜑.

    (b) Si el fuselaje tiene 4,8 pies de ancho, calcule la envergadura.

    (c) Calcule el área de un ala. 


    replythumb_up0 voto/sflag
    icon

    César
    el 7/6/18

    El primero es correcto

    2º No consigo verlo bien



    thumb_up0 voto/sflag
    icon

    Elena Gómez
    el 7/6/18

    Gracias y el tercero que le parece, el del avión?

    thumb_up0 voto/sflag
  • icon

    Ginny Weasley
    el 7/6/18

    "Hola David, tengo un problema. Tengo que aprobar las mates antes de verano y la trigonometría me cuesta mucho. En el examen nos salió este ejercicio y no sé cómo se resuelve: En lo alto de un edificio en construcción, hay una grúa de 4 metros de alto. Desde un punto del suelo se puede ver el extremo/la punta de la grúa en un ángulo de 45 grados (en relación con la línea horizontal) y el punto más alto del edificio a un ángulo de 40 grados (en relación con la línea horizontal también). Calcula la altura del edificio. Lo he intentado de 3 formas distintas y no me salen respuestas lógicas. Por favor, ayúdame."

    replythumb_up0 voto/sflag
    icon

    César
    el 7/6/18


    thumb_up1 voto/sflag
  • icon

    Theo Uni
    el 7/6/18

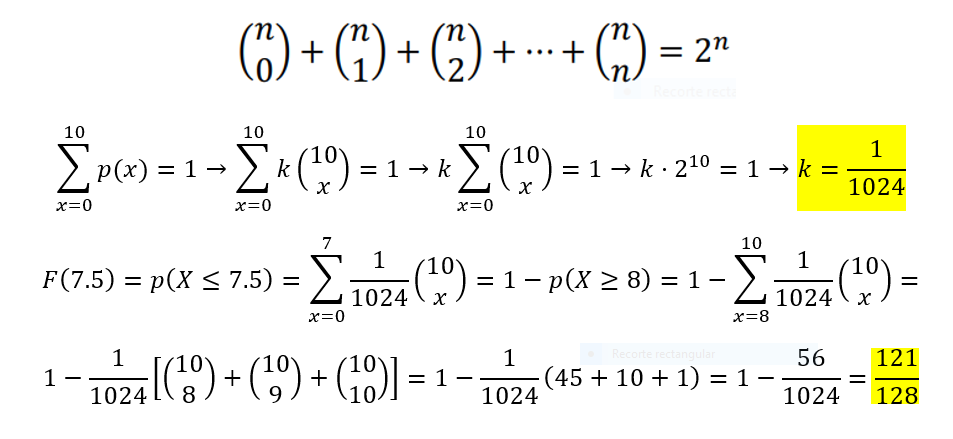
    Hola, estoy un poco liado con este ejercicio de variables aleatorias.


    Lo he intentado hacer, primero, no sé si tengo que usar la fórmula para combinaciones sin repeticion o sin repeticion, para calcular k partí de la idea de que la suma de todos los k.pi tiene que ser igual a 1. Aquí dejo lo que intenté:


    gracias

    replythumb_up0 voto/sflag
    icon

    Antonius Benedictus
    el 7/6/18


    thumb_up1 voto/sflag
  • icon

    IVAN
    el 7/6/18

    buenas podríais resolver este ejercicio por favor pertenece a las selectividad del país vasco. por ultimo os mando este 

    replythumb_up0 voto/sflag
    icon

    Antonius Benedictus
    el 7/6/18

    Este ejercicio es estándar:


    thumb_up0 voto/sflag
  • icon

    IVAN
    el 7/6/18

    buenas podriais resolver este ejercicio porfavor pertene a las selctividad del pais vasco.

    replythumb_up0 voto/sflag
    icon

    Antonius Benedictus
    el 8/6/18

    Ejercicio estándar:


    thumb_up0 voto/sflag
  • icon

    IVAN
    el 7/6/18

    buenas podríais resolver este ejercicio por favor pertenece a las selectividad del país vasco.

    replythumb_up0 voto/sflag
    icon

    Antonio
    el 7/6/18

    En primer lugar calcular los extremos de la función entre [0,12]

     f(t)=t^3/3 - 5t^2 + 16t + 30

     f'(t)=t^2 - 10t + 16

    t^2 - 10t + 16=0 => t=2 ^ t=8

     f''(t)=2t - 10

     f''(2)=-6<0 => Máximo

     f''(8)=6>0 minimo

    Además veremos el comportamiento en t=0 y t=12

     f'(0)=16>0 => Crece

     f'(12)=38 => Crece

    por lo tenemos que f(t) crece en (0,2), tiene un máximo en x=2, decrece en (2,8), tiene un mínimo en x=8 y crece en (8,12)

    la lógica nos dice que lo mejor es comprar barato y vender caro,

    por lo tanto, la solución sería:

    comprar en enero, vender en febrero, volver a comprar en agosto y vender en diciembre


    thumb_up0 voto/sflag
    icon

    Antonio
    el 7/6/18

    En enero compraría 3000/f(0) acciones, es decir 3000/30=100 acciones

    en febrero obtendría 100·f(2) €, es decir 100·44'66=4466'67€

    en agosto compraría 4466'67/f(8) acciones, es decir 4466'67/8'6667= 515'3830 acciones

    y finalmente en diciembre obtendría 515'3830·f(12) €, es decir 515'3830·78=40199'87€

    por lo tanto los beneficios serían 40199'87-3000=37200€ antes de impuestos

    thumb_up0 voto/sflag
  • icon

    IVAN
    el 7/6/18

    buenas podriais resolver este ejercicio porfavor pertene a las selctividad del pais vasco.

    replythumb_up0 voto/sflag
    icon

    Antonio
    el 7/6/18


    thumb_up0 voto/sflag
    icon

    IVAN
    el 7/6/18

    No entiendo lo que me pide en el apartado c)

    thumb_up0 voto/sflag
    icon

    Antonius Benedictus
    el 8/6/18



    thumb_up1 voto/sflag
  • icon

    jonathan31
    el 7/6/18

    me pueden ayudar con este, en especial el punto b 


    replythumb_up0 voto/sflag
    icon

    César
    el 7/6/18


    thumb_up1 voto/sflag
    icon

    jonathan31
    el 7/6/18

    muchisimas gracias por la ayuda

    thumb_up0 voto/sflag