
Vamos con una orientación.
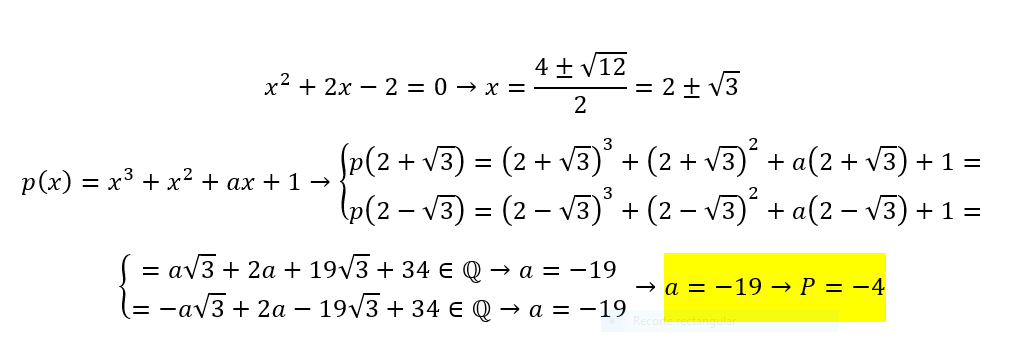
Tienes la ecuación polinómica cuadrática:
x2 + 2x - 2 = 0, cuyas soluciones son:
x1 = -1-√(3),
x2 = -1+√(3).
Luego, estudiamos cada caso por separado.
1°)
Para x1 = -1-√(3), puedes plantear:
x13 = reemplazas:
= ( -1-√(3) )3 = desarrollas:
= -1 - 3√(3) - 9 - 3√(3) = reduces términos semejantes, y queda:
= -10 - 6√(3) (1);
x12 = reemplazas:
= ( -1-√(3) )2 = desarrollas:
= 1 + 2√(3) + 3 = reduces términos semejantes, y queda:
= 4 + 2√(3) (2);
a*x1 =
= a*( -1-√(3) ) = distribuyes:
= -a - √(3)*a (3);
luego, planteas la expresión evaluada del polinomio P para el valor que estamos estudiando, y queda:
P(x1) =
= x13 + x12 + a*x1 + 1 = sustituyes las expresiones señaladas (1) (2) (3):
= -10 -6√(3) + 4 + 2√(3) - a - √(3)*a + 1 = reduces términos semejantes:
= -5 - 4√(3) - a - √(3)*a =
asocias términos sin coeficiente irracional y asocias términos con coeficiente irracional:
= (-5 - a) + (-4 - a)√(3)*a = extraes factores comunes en los agrupamientos:
= -(5 + a) - (4 + a)√(3) (4);
luego, tienes en tu enunciado:
P(x1) ∈ Q,
por lo que tienes dos opciones:
a)
que a sea un número racional para que el primer término de la expresión señalada (4) sea racional, y debes tener también que a debe ser igual a -4, a fin de anular el segundo término que es irracional, por lo que puedes concluir:
a = -4;
luego, reemplazas el valor remarcado en la expresión del polinomio P, y queda:
P = x3 + x2 - 4x + 1 (5);
b)
que la expresión señalada (4) sea igual a cero, por lo que tienes la ecuación:
-(5 + a) - (4 + a)√(3) = 0, distribuyes agrupamientos, y queda:
-5 - a - 4√(3) - a√(3) = 0, sumas 5 y sumas 4√(3) en ambos miembros, y queda:
-a - a√(3) = 5 + 4√(3), extraes factor común en el primer miembro, y queda:
-a( 1+√(3) ) = 5 + 4√(3), multiplicas en ambos miembros por 1-√(3), y queda:
-a( 1+√(3) )( 1-√(3) ) = ( 5+4√(3) )( 1-√(3) ), resuelves los productos de factores numéricos, y queda:
-a(-2) = -7-√(3), multiplicas por 1/2 en todos los términos de la ecuación, y queda:
a = -7/2 - √(3)/2;
luego, reemplazas el valor remarcado en la expresión del polinomio P, y queda:
P = x3 + x2 + (-7/2-√(3)/2)x + 1 (5*).
2°)
Luego, como tienes las opciones señaladas (5) y (5*) para la expresión del polinomio, solo queda que las evalúes para x2 = -1+√(3), y que te quedes con la opción, o las opciones, que te conduzcan a números racionales (te dejo la tarea).
Espero haberte ayudado.
Hola, como se calcula los valores A y B?(he descubierto C= 4)
Traducción: Determinad los valores de A, B y C que hacen que la funcion f(x) ___ pase por el punto (0, 4) y tenga extremos relativos en los puntos de abscisa x= 1 y x=3. Clasifica estos extremos (sé clasificarlos)
Tengo un problema con un ejercicio de cambio de bases de una matriz asociada a una aplicación lineal, f: R3--> R4 la matriz asociada a la aplicación con bases de R3
B={(1,0,1):,(1,1,0),(0,1,2)}:
0 3 5
-2 1 4
-1 0 1
0 1 1
Me pide encontrar la matriz de la aplicación en las bases canónicas de R4 , tengo el ejercicio solucionado pero creo que es incorrecto ya que calcula la inversa de la matriz en bases canónicas de R3 que creo que no se ha de hacer.
Buenas tardes, quisiera hacer una pregunta sobre estadística:
¿Existe relación entre el error máximo y el error muestral? Es por casualidad el error máximo un error muestral, suponiendo entonces que los errores máximos son errores muestrales pero que no todos los errores muestrales son errores máximos?
Muchas gracias

¡Hola! Nos encantaría ayudarte, pero no solemos responder dudas universitarias que no tengan que ver específicamente con los vídeos que David Calle ha grabado como excepción. O de otras asignaturas que no sean Matemáticas, Física y Química. Lo sentimos de corazón… Esperamos que lo entiendas.
Ojalá algún unicoo universitario se anime a ayudarte (de hecho, lo ideal es que todos los universitarios intentarais ayudaros los unos a los otros).