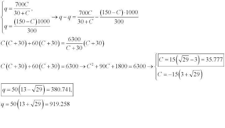
>Puede una funcion tener mas de una primitiva? En caso de tener mas de una, ¿que relacion hay
entre ellas?

Comienza por suponer que la función f tiene dos primitivas: F1 y F2.
Luego, tienes las relaciones entre las primitivas y la función:
F1' (x) = f(x),
F2' (x) = f(x);
luego, restas miembro a miembro, y queda:
F1' (x) - F2' (x) = 0;
luego, integras término a término, y queda:
F1 (x) - F2 (x) = constante.
Por lo tanto, tienes que las funciones primitivas pueden ser distintas, pero difieren en una constante.
Por ejemplo:
F1(x) = x2 es una función primitiva de f(x) = 2x,
y también:
F2(x) = x2 + 5 es una función primitiva de f(x) = 2x.
Espero haberte ayudado.
Hola! Alguien me puede explicar porque
A^2+A=2I -> A(A+I)=2I
Son matrices, gracias de antemano

Tienes una ecuación en la que intervienen la matriz A, la matiz identidad I, y el número real 2:
A2 + 2*A = 2*I,
expresas al primer término como una multiplicación, y queda:
A*A + 2*A = 2*I,
expresas a la matriz del segundo término como el producto de ella con la matriz identidad, y queda:
A*A + 2*A*I = 2*I,
ordenas factores en el segundo término (recuerda que el factor escalar puede conmutar, pero no pueden conmutar los factores matriciales), y queda:
A*A + A*2*I = 2*I,
extraes factor común por izquierda en el primer miembro, y queda:
A*(A - 2*I) = 2*I.
Espero haberte ayudado.

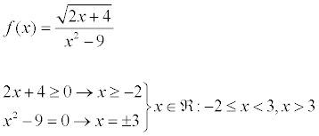
Observa que el argumento de la raíz cuadrada del numerador debe ser mayor o igual que cero, y que la expresión del denominador debe ser distinta de cero, por lo que tienes dos condiciones:
1°)
2x + 4 ≥ 0, divides por 2 en todos los términos de la inecuación (observa que no camba la desigualdad):
x + 2 ≥ 0, restas 2 en ambos miembros de la inecuación, y queda:
x ≥ -2 (1);
2°)
x2 - 9 ≠ 0, sumas 9 en ambos miembros, y queda:
x2 ≠ 9, extraes raíz cuadrada en ambos miembros de la ecuación negada, y queda:
x ≠ -3 y x ≠ 3 (2);
luego, tienes que los elementos del dominio cumplen con las condiciones señaladas (1) (2), por lo que su expresión como intervalo queda:
D = [ -2 , 3 ) ∪ ( 3 , +∞ ).
Luego, observa que 0 pertenece al dominio, por lo que evalúas la expresión de la función para él, y queda:
f(0) = 2/(-9) = -2/9,
por lo que la gráfica de la función corta al eje coordenado OY en el punto: A(0,-2/9).
Luego, plantea la condición de intersección entre la gráfica de la función y el eje coordenado OX:
f(x) = 0, sustituyes la expresión de la función en el primer miembro de la ecuación, y queda:
√(2x+4)/(x2-9) = 0,
multiplicas en ambos miembros por (x2-9) (observa que esta expresión toma valores distintos de cero en todo el dominio de la función), y queda:
√(2x+4) = 0, elevas al cuadrado en ambos miembros de la ecuación, y queda:
2x + 4 = 0, divides por 2 en todos los términos de la ecuación, y queda:
x + 2 = 0, restas 2 en ambos miembros de la ecuación, y queda:
x = -2, que es un valor que pertenece al dominio de la función, por lo que la gráfica de la función corta al eje coordenado OX en el punto: B(-2,0).
Espero haberte ayudado.
Hola tengo una duda, si yo tengo una funcion por ejemplo f(x)=x^2(4x-12) , si quiero sustituir la x por -1 para ver la monotonía, en la calculadora pongo el -1 entre parentesis o no? Porque dependiendo de cómo lo ponga sale postivo o negativo
Buenas ! agradecería a quien pudiera ayudarme con esto... me pide encontrar la ecuación de la recta tangente de la función f(x) = 2x + 1 / x + 2 en el punto ( 1 , 1 ) utilizando la definición de derivada !

Tienes la expresión de la función:
f(x) = (2*x+1)/(x+1),
cuyo dominio es: D = R - {1}.
Luego, puedes plantear:
f(1) = (2*1+1)/(1+2) = 3/3 = 1;
f(1+h) = (2*(1+h)+1)/(1+h+2) = (3+2*h)/(3+h).
Luego, puedes plantear la expresión del incremento de la función:
f(1+h) - f(1) =
= (3+2*h)/(3+h) - 1 = extraes denominador común, y queda:
= ( 3+2*h - 1*(3+h) )/(3+h) = distribuyes en el numerador, y queda:
= (3+2*h-3-h)/(3+h) = reduces términos semejantes en el numerador, y queda:
= h/(3+h) (1).
Luego, puedes plantear la expresión del cociente incremental:
( f(1+h) - f(1) )/h = sustituyes la expresión señalada (1) en el numerador, y queda:
= ( h/(3+h) )/h = simplificas, y queda:
= 1/(3+h) (2).
Luego, planteas la definición de derivada para el valor en estudio (x =1), y queda:
f ' (1) =
= Lím(h→0) ( f(1+h)-f(1) )/h = sustituyes la expresión señalada (2), y queda:
= Lím(h→0) ( 1/(3+h) ) = resuelves, y queda:
= 1/3,
que es el valor de la pendiente de la recta tangente a la gráfica en el punto de contacto: A(1,1).
Luego, puedes plantear la ecuación cartesiana punto-pendiente de la recta tangente, y queda:
y = (1/3)*(x-1) + 1, distribuyes el primer término, y queda:
y = (1/3)*x - 1/3+1, reduces términos numéricos, y queda:
y = (1/3)x + 2/3,
que es la ecuación cartesiana explícita de la recta tangente a la gráfica en el punto de contacto A(1,1).
Espero haberte ayudado.