Foro de preguntas y respuestas de Matemáticas

logo beUnicoos
Los foros de unicoos se han unificado en nuestra nueva plataforma beUnicoos. Para dejar nuevas preguntas deberás hacerlo allí, donde además podrás encontrar nuevas asignaturas y herramientas para ayudarte más con tus estudios.

  • icon

    Vivi
    el 26/5/18

     Me ayudan a plantear el tema 51 

    replythumb_up0 voto/sflag
    icon

    Antonius Benedictus
    el 26/5/18


    thumb_up0 voto/sflag
  • icon

    Froylan
    el 26/5/18

    Hola, me podrían ayudar con esta ecuación


    replythumb_up0 voto/sflag
    icon

    José Luis Lustau Álvarez-Cienfuegos
    el 26/5/18

    Deja en el segundo término sólo la raíz de x, luego no tienes más que elevar ambos términos al cuadrado y la raíz se va con el cuadrado, con lo que te queda en el segundo término X.

    Operas y listo.

    thumb_up0 voto/sflag
    icon

    Antonius Benedictus
    el 26/5/18


    thumb_up0 voto/sflag
  • icon

    Inés
    el 26/5/18

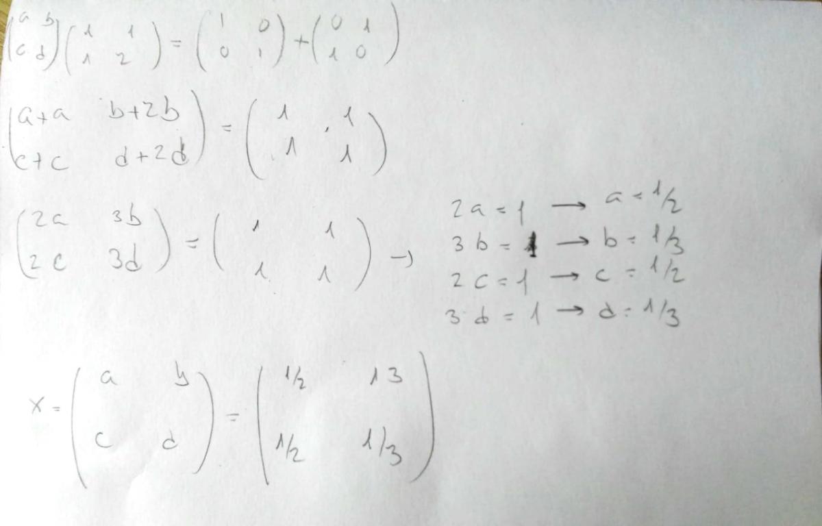
    Hola, como se resolvería este ejercicio? (Resuelve la equación X x A = B + C, sabiendo que: )


    replythumb_up0 voto/sflag
    icon

    José Luis Lustau Álvarez-Cienfuegos
    el 26/5/18


    thumb_up0 voto/sflag
  • icon

    Inés
    el 26/5/18

    Hola, como se resolvería el ejercicio B? (Determina, razonadamente, el valor de A)



    replythumb_up0 voto/sflag
    icon

    Gabriel
    el 26/5/18


    thumb_up0 voto/sflag
    icon

    Inés
    el 26/5/18

    Sigo sin entenderlo...

    thumb_up0 voto/sflag
    icon

    José Luis Lustau Álvarez-Cienfuegos
    el 26/5/18

    A mí me sale -A:


    thumb_up0 voto/sflag
    icon

    Gabriel
    el 28/5/18

    Como no nos digas en qué punto te pierdes o qué no entiendes...

    thumb_up0 voto/sflag
  • icon

    David Poyatos
    el 26/5/18

    Hola, como se resolvería el siguiente ejercicio:

    replythumb_up0 voto/sflag
    icon

    Gabriel
    el 26/5/18


    thumb_up0 voto/sflag
    icon

    Antonius Benedictus
    el 26/5/18


    thumb_up0 voto/sflag
  • icon

    Sumi
    el 26/5/18

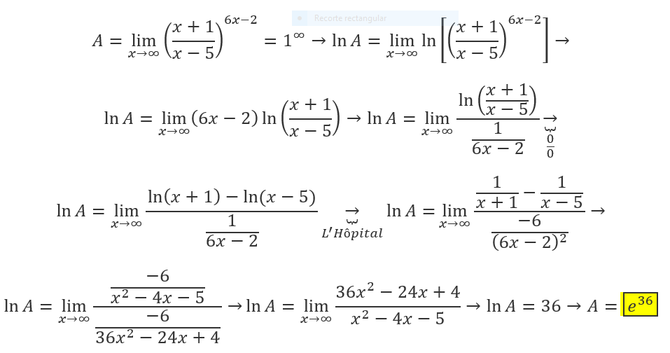
    Buenas! Podria alguien decirme como seguir en este limite? Porque me da infinito por uno.... 

    replythumb_up0 voto/sflag
    icon

    José Luis Lustau Álvarez-Cienfuegos
    el 26/5/18


    thumb_up2 voto/sflag
  • icon

    Sumi
    el 26/5/18

    Buenos dias!podria alguien decirme en que me he equivocado en el limite? Gracias!  


    replythumb_up0 voto/sflag
    icon

    Antonius Benedictus
    el 26/5/18


    thumb_up0 voto/sflag
  • icon

    andrea
    el 26/5/18
    flag

    Alguien me ayuda en este ejercicio porfavor 

    replythumb_up0 voto/sflag
    icon

    Antonius Benedictus
    el 26/5/18

    En el foro de Física, por favor.

    thumb_up0 voto/sflag
  • icon

    Angela
    el 26/5/18

    Ayuda con este ejercicio? gracias

    replythumb_up0 voto/sflag
    icon

    Antonius Benedictus
    el 26/5/18


    thumb_up0 voto/sflag
  • icon

    David Poyatos
    el 26/5/18

    Hola como se resolvería el siguiente ejercicio:

    Determina la recta tangente a la circunferencia C: x²+ y² + 4x - 1 = 0 en el punto A(3, 2)

    replythumb_up0 voto/sflag
    icon

    Antonius Benedictus
    el 26/5/18

    Pon foto del enunciado original, por favor.

    thumb_up0 voto/sflag
    icon

    Antonius Benedictus
    el 26/5/18


    thumb_up0 voto/sflag