Me ayudan? Gracias.
-La base de la pirámide de Keops es un cuadrado que tiene 233,805 m de lado. Cuántos m2 mide la superficie de la base de la pirámide?
233,805x233,805 = 54669, 78 m2
- Begoña tiene 5468 fichas de igual forma y tamaño. Las quiere colocar formando el mayor cuadrado posible. Cuántas fichas colocará en cada lado? cuántas fichas no podrá colocar?
La raíz de 5468 es 73, son las dichas que coloca y el resto 139 las que sobran.
- Un casillero cuadrado de cartas tiene 11 casillas de lado. Se quiere añadir una casilla más por lado. Cuántas casillas habrá que añadir'
No logro visualizar el problema, 4?
- Jorge es barnizador y cobra 4 euros por cada metro cuadrado que barniza. Ha barnizado un salón cuadrado y ha cobrado 144 euros. Cuál era la medida en metros del lado del salón?
144/4 = 36m3, raíz de 36 es 6 m por lado?
Dispones de una hoja de papel cuadriculada (el lado de cada casilla mide 1 cm) de 20 cm de ancho y 30 de largo. Cuánto cm medirá el lado mayor del cuadrado que puedes dibujar en esta hoja?
- No lo entiendo.
Hay exactamente 15 números que tienen la misma raíz cuadrad. ¿Cuáles son esos números?
?
Hay exactamente 24 números que tienen la misma raíz cuadrada no exacta. ¿Cuáles son?
?
- Calcula en cm la longitud del lado de un cuadrado que tiene 529 m2 de area.
529 raíz 23 m, serian 2300 cm
- Un tapicero compra una pieza entera de tela y le cuesta 234 euros. El precio del metro de tela es igual al número de metros que tiene la pieza. ¿Cuántos metros tiene la pieza?
324?
-La base de la pirámide de Keops es un cuadrado que tiene 233,805 m de lado. Cuántos m2 mide la superficie de la base de la pirámide?
233,805x233,805 = 54669, 78 m2 BIEN
- Begoña tiene 5468 fichas de igual forma y tamaño. Las quiere colocar formando el mayor cuadrado posible. Cuántas fichas colocará en cada lado? cuántas fichas no podrá colocar?
La raíz de 5468 es 73, son las dichas que coloca y el resto 139 las que sobran. BIEN
- Un casillero cuadrado de cartas tiene 11 casillas de lado. Se quiere añadir una casilla más por lado. Cuántas casillas habrá que añadir'
No logro visualizar el problema, 4?
Pasaríamos a tener un casillero de 12 x 12, puesto que es cuadrado. En ese caso si dibujas con puntos la retícula, para llenar esa fila y columna de más tendrás que decir 12 fichas por fila/columna x 2 y restar uno que es la casilla de la esquina puesto que vale para las dos, por lo tanto: 12x2-1=23 casillas
- Jorge es barnizador y cobra 4 euros por cada metro cuadrado que barniza. Ha barnizado un salón cuadrado y ha cobrado 144 euros. Cuál era la medida en metros del lado del salón?
144/4 = 36m3, raíz de 36 es 6 m por lado?
Está bien, lo único que al calcular 144/4 = 36 m2
- Dispones de una hoja de papel cuadriculada (el lado de cada casilla mide 1 cm) de 20 cm de ancho y 30 de largo. Cuánto cm medirá el lado mayor del cuadrado que puedes dibujar en esta hoja?
No lo entiendo.
Simplemente hay que saber que al dibujar un cuadrado en un espacio de 20x30, nos tenemos que fijar en el lado menor, por lo que el lado del cuadrado que dibujarás será de 20 cm.
- Hay exactamente 15 números que tienen la misma raíz cuadrad. ¿Cuáles son esos números?
- Hay exactamente 24 números que tienen la misma raíz cuadrada no exacta. ¿Cuáles son?
- Calcula en cm la longitud del lado de un cuadrado que tiene 529 m2 de area.
529 raíz 23 m, serian 2300 cm BIEN
- Un tapicero compra una pieza entera de tela y le cuesta 234 euros. El precio del metro de tela es igual al número de metros que tiene la pieza. ¿Cuántos metros tiene la pieza?
324? Imagino que el coste total del enunciado sea 324, no 234€
Ten en cuenta que si queremos calcular lo que cuesta, tendríamos que decir...
coste total = precio unitario €/m x metros de longitud.
Nos dice que el precio del metro es lo mismo que el número de metros, por lo que...
coste total = precio unitario €/m x metros de longitud; 324 = x*x = x2; x=raiz(324) = 18 m
Buenas, podrian ayudarme con esta ecuacion diferencial, la he resuelto y pense que me habia quedado bien, pero cuando fui a ver la respuesta del libro estaba completamente diferente! la respuesta que da el libro es la encerrada en rojo!
Agradeceria mucho su ayuda!

¡Hola! Nos encantaría ayudarte, pero no solemos responder dudas universitarias que no tengan que ver específicamente con los vídeos que David Calle ha grabado como excepción. O de otras asignaturas que no sean Matemáticas, Física y Química. Lo sentimos de corazón… Esperamos que lo entiendas.
Ojalá algún unicoo universitario se anime a ayudarte (de hecho, lo ideal es que todos los universitarios intentarais ayudaros los unos a los otros).
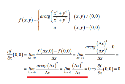
Hola. Quería consultar un punto particular de un cálculo de derivada parcial por definición que no comprendo. Particularmente donde está subrayado: simplemente no entiendo cómo es que de un paso a otro "se quita" el arctg(Ax)2 por Ax2. Muchas gracias de antemano.
Necesito ayuda con este problema de probabilidad
De los pacientes que concurren a un centro asistencial, el 30% vive en el barrio A, el 50% en el barrio B, y el resto en el C
Si un dia asisten 8 pacientes, calcule la probabilidad de que 2 vivan en el barrio A y 3 en el B
La respuesta debe ser 0,504 pero no me da eso, ayuda por favor
ayuda con este por favor urgente:
1. Una persona solicita un crédito de 30 millones de pesos para pagarlos en un plazo de 5 años en cuotas semestrales así:
* Interés cada seis meses.
* Amortización del capital cada año.
Con un interés fijo del 24% anual. ¿Cuál es el valor de cada cuota? ¡cuanto dinero pago en total el cliente?
Buenas!
Tengo una duda respecto alas asintotas oblicuas. Es obligatorio realizar el cálculo con mas y menos infinito? O por qué en este ejercicio realiza la asintota cuando tiende a menos infinito y no a mas?