Alguien puede resolver este ejercicio para comparar resultados?
He racionalizado la parte de la derecha pero no se como continuar resolviendo una de las dos incógnitas.
Muchas gracias.


Tienes la ecuación compleja:
a - 3i = (2+bi) / (1+4i),
multiplicas al numerador y al denominador del segundo miembro por (1-4i), y queda:
a - 3i = (2+bi)(1-4i) / (1+4i)(1-4i),
desarrollas los productos en el numerador y en el denominador del segundo miembro, y queda:
a - 3i = ( 2+4b + (b-8)i ) / 17,
distribuyes el denominador en el segundo miembro, y queda:
a - 3i = (2+4b)/17 + ( (b-8)/17 )i.
Luego, por igualdad entre números complejos, igualas las partes reales entre si, igualas las partes imaginarias entre sí, y queda el sistema de dos ecuaciones con dos incógnitas:
a = (2+4b)/17 (1),
-3 = (b-8)/17 (2);
luego, multiplicas por 17 en ambos miembros de la ecuación señalada (2), y queda:
-51 = b - 8, sumas 8 en ambos miembros, y queda: -43 = b;
luego, sustituyes el valor remarcado en la ecuación señalada (1), y queda:
a = (2 + 4(-43) ) /17 = (2-172)/17 = -170/17, simplificas, y queda: a = -10.
Espero haberte ayudado.
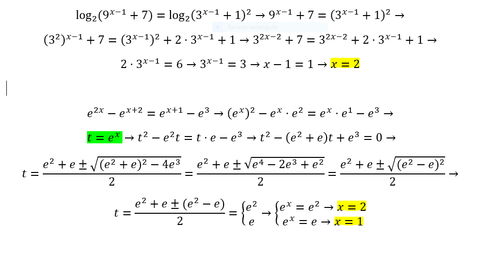
Hola, me podrian ayudar con estos dos problemas
1; e2x - ex+2 = ex+1 - e3
ln e2x - ln ex+2 = ln ex+1 - ln e3
2x (ln e) - x+2 (ln e) = x+1 (ln e) - 3 (ln e)
2x (1) - x+2 (1) = x+1 (1) - 3 (1)2x - x+2 = x+1 - 3
2x - 2x = -2 +1 - 3
0 = -4
Se que mi resultado es incorrecto pero no puedo percibir mi error
2; Log2 (9x - 1 + 7) = Log2 (3x - 1 + 1)2
En este segundo ejercicio no tengo ni idea de como iniciar
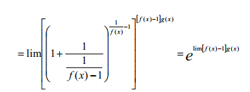
Me podria ayudar a hacer este limite ??
limite x-->1 ⊆2-x⊇-x / Ι 2 - x Ι - x
(Se que hay confrontarlo por límite laterales )
" ⊆ " Esto es parte entera. No lo puse con corchete porque no lo encontré en el teclado de ustedes. Por su atencion muchas gracias.

(x,y,z,t) es un vector de R^4
Sea S el conjunto dado por la ecuación z=t+b
Si b es distinto de 0, entonces el vector nulo (0,0,0,0) no pertenece a S. Por tanto S no es subespacio.
Si b=0, entonces la ecuación queda 0x+0y+z-t=0 que es una ecuación lineal homogénea.
Un subespacio está siempre caracterizado por un sistema de una o varias ecuaciones lineales homogéneas. Entonces S será subespacio.