Foro de preguntas y respuestas de Matemáticas

logo beUnicoos
Los foros de unicoos se han unificado en nuestra nueva plataforma beUnicoos. Para dejar nuevas preguntas deberás hacerlo allí, donde además podrás encontrar nuevas asignaturas y herramientas para ayudarte más con tus estudios.

  • icon

    Juan Olvedo
    el 23/5/18

    Pueden ayudarme a encontrar alfa?

    replythumb_up0 voto/sflag
    icon

    César
    el 23/5/18

    Como que faltan datos en el dibujo.


    thumb_up1 voto/sflag
  • icon

    Valentina Diaz
    el 23/5/18

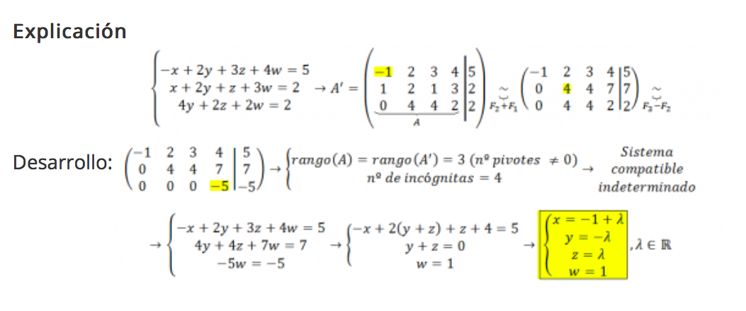
    hola! estoy haciendo los exámenes de la pagina, sistema de ecuaciones. 

    pero en la solución al pasar de las ecuaciones a la matriz, se equivocó en la ultima fila, no es así? (0 4 4 2)  y es (0 4 2 2)

    por eso la solución es distinta! 


    replythumb_up0 voto/sflag
    icon

    César
    el 23/5/18

    Efectivamente , pero no altera el método de resolución.

     

    thumb_up0 voto/sflag
  • icon

    Karen
    el 23/5/18

    Hola! Como resuelvo con este ejercicio de continuidad?

    Encontre un valor de "a" pero se que el dominio es distinto de 2, entonces la función no va a ser continua...


    replythumb_up0 voto/sflag
    icon

    Antonius Benedictus
    el 23/5/18

    Tienes que igualar el límite por la izquierda (3a+4)/4  a 3, no a 0.

    thumb_up1 voto/sflag
  • icon

    Datas Andres
    el 23/5/18

    Me ayudan a resolver esta definiciòn que en el libro que lei no me la especifica bien



    replythumb_up0 voto/sflag
    icon

    Antonius Benedictus
    el 23/5/18


    thumb_up0 voto/sflag
  • icon

    Mauro Prado Alejandro
    el 23/5/18


    replythumb_up0 voto/sflag
    icon

    Antonius Benedictus
    el 23/5/18

    Con el criterio de que la fracción  19/(n+9)  sea  menor que 1 o mayor o igual a 1.

    thumb_up0 voto/sflag
  • icon

    PepB
    el 23/5/18

    En un ejercicio me piden  ( 3 ESO ):


    Quitamos de uno en uno unos cartrones de una bolsa que contienen las letras de la palabra OSE. Calcula la probabilidad de sacar las letras en el orden correcto para que se forme la palabra ESO. Hazlo en estos dos casos:

        a) Sin devolver el cartón

        b) Devolviendo el carton


    No tengo ni idea de como hacerlo, imagino que será utilizando sucesos

    replythumb_up0 voto/sflag
    icon

    Javier Suárez Caballero
    el 23/5/18

    Diagrama en árbol:

    a) Sin devolver el cartón: P (ESO) = P (E) · P (S) · P (O) = 1/3 · 1/2 · 1 = 1/6

    b) Devolviéndolo: P (ESO) = P (E) · P (S) · P (O) = (1/3)3

    thumb_up0 voto/sflag
  • icon

    Sofía Martinez
    el 23/5/18

    Hola. En un ejercicio me piden encontrar la función lineal f que satisface f(1)=0 , f(2)=5

    Yo lo resolví de esta forma, pero creo que está mal porque lo vi resuelto en una página y tiene los signos al revés de como yo los escribí. Alguien podría decirme qué hice mal?

    f(1)=0 , f(2)=5

    x=1 , 2

    y=0 , 5 

    función lineal= f(x)=mx+b

    f(1)=m.1+b

    0=1m+b


    f(2)=m.2+b

    5=2m+b


    (0=1m+b)-(5=2m+b)=

    5=-1m

    5:(-1)=m

    -5=m


    0=1.(-5)+b

    0=-5+b

    5=b

    Respuesta= f(x)=-5x+5

    replythumb_up0 voto/sflag
    icon

    Carlos Flores
    el 23/5/18

    Hola Sofía

    El inicio de la resolución es correcta, el error está en la parte final. Te dejo la forma correcta a continuación:


    0=m+b

    -m=b


    5=2m+b

    5=2m+(-m)

    5=2m-m

    5=m


    -m=b

    -(5)=b

    -5=b


    Respuesta: f(x)=5x-5

    Espero haberte ayudado.

    Saludos


    thumb_up0 voto/sflag
  • icon

    Giampier Alfonso Carrion Huaripata
    el 23/5/18

    Hola buenas noches me podría ayudar con este ejercicio:


    replythumb_up0 voto/sflag
    icon

    Antonius Benedictus
    el 23/5/18


    thumb_up0 voto/sflag
    icon

    Giampier Alfonso Carrion Huaripata
    el 23/5/18

    Gracias


    thumb_up0 voto/sflag
  • icon

    Ximena
    el 23/5/18

    Me pueden dar un par de ejemplos de conjuntos expresados por extensión y comprensión a partir de diagramas de venn?

    replythumb_up0 voto/sflag
    icon

    César
    el 23/5/18

    https://www.youtube.com/watch?v=xObTZgalesk


    thumb_up0 voto/sflag
  • icon

    Ximena
    el 23/5/18

    Hola., alguien me puede dar las fórmulas utilizadas en física vectorial?

    replythumb_up0 voto/sflag
    icon

    Antonius Benedictus
    el 25/5/18

    Pregunta en el foro de Física.

    thumb_up0 voto/sflag