Hola unicoos, ¿me pueden ayudar con el siguiente ejercicio? Me piden estudiar y clasificar según las propiedades de acotación el siguiente conjunto: A = {1/n: n∈Ν}

Conjunto infinito (numerable)
Acotado superiormente por 1 (que es el supremo y máximo)
Acotado inferiormente por 0 (que es el ínfimo, pero no es mínimo, pues no pertenece al conjunto).
A está formado por los elementos de una sucesión monótona estrictamente decreciente, que converge a 0. Es, pues, un infinitésimo.
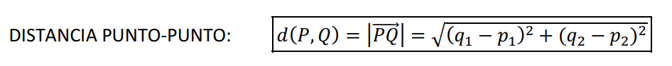
En un sistema de referencia cartesiano, con origen de coordenadas (0, 0), un peatón pasa por el punto A(1,3) mientras que en ese mismo instante otro peatón pasa por el punto B(4, -1). Entonces, en dicho instante, la distancia que separa a ambos peatones es de:
a) √41 unidades
b) 3 unidades
c) 5 unidades