Foro de preguntas y respuestas de Matemáticas

logo beUnicoos
Los foros de unicoos se han unificado en nuestra nueva plataforma beUnicoos. Para dejar nuevas preguntas deberás hacerlo allí, donde además podrás encontrar nuevas asignaturas y herramientas para ayudarte más con tus estudios.

  • icon

    Cris
    el 22/5/18

    Hola, me podríais ayudar con este ejercicio por favor. Gracias.


    replythumb_up0 voto/sflag
    icon

    César
    el 22/5/18

    El último punto. No veo el cuadrado.


    thumb_up0 voto/sflag
  • icon

    sebastian sk
    el 22/5/18

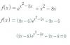
    Hola! buenas noches tengo que resolver esta funcion y hallar máximos y mínimos relativos e intervalos yo ya la derive pero no me doy cuenta como despejar X.

    Desde ya muchas gracias






    replythumb_up0 voto/sflag
    icon

    Sebastian Quintero
    el 22/5/18

    Ojoooo que lo tienes mal derivado

    thumb_up1 voto/sflag
    icon

    Sebastian Quintero
    el 22/5/18


    thumb_up1 voto/sflag
    icon

    sebastian sk
    el 22/5/18

    Gracias por responder. Que derive mal?  y el x∧2-8x

    thumb_up0 voto/sflag
    icon

    Antonio Silvio Palmitano
    el 22/5/18

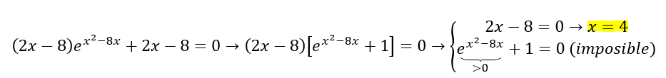
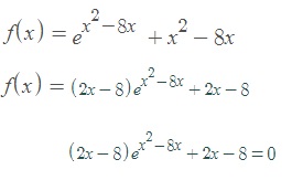
    Tienes la expresión de la función, cuyo dominio es R:

    f(x) = ex^2 - 8x + x2 - 8x.

    Luego, has planteado correctamente la expresión de la función derivada:

    f ' (x) = ex^2 - 8x * (2x - 8) + 2x - 8;

    asocias los dos últimos términos, y queda:

    f ' (x) = ex^2 - 8x * (2x - 8) + (2x - 8);

    extraes factor común, y queda:

    f ' (x) = (2x - 8) * ( ex^2 - 8x + 1 ).

    Luego, plantea la condición de valor crítico (posible máximo o posible mínimo):

    f ' (x) = 0,

    sustituyes la expresión de la función derivada en el primer miembro, y queda:

    (2x - 8) * ( ex^2 - 8x + 1 ) = 0,

    divides en ambos miembros por ( ex^2 - 8x + 1 ) (observa que la expresión toma valores estrictamente positivos), y queda:

    2x - 8 = 0, 

    y de aquí despejas:

    x = 4.

    Luego, tienes dos intervalos para estudiar el crecimiento o decrecimiento de la función:

    (-∞,4) y (4,+∞).

    Haz el intento de concluir la tarea, y si te resulta necesario no dudes en volver a consultar.

    Espero haberte ayudado.

    thumb_up1 voto/sflag
    icon

    Sebastian Quintero
    el 22/5/18

    Corrijo mi comentario ,no habias derivado mal nada ha sido un despiste mio ,aunque el resultado es el mismo el procedimiento mio es incorrecto,fijate en lo que dice el profe antonio saludos

    thumb_up1 voto/sflag
    icon

    sebastian sk
    el 22/5/18

    Muchas gracias a ambos.  Me vino genial la ayuda. Saludos


    thumb_up0 voto/sflag
    icon

    Antonius Benedictus
    el 22/5/18


    thumb_up1 voto/sflag
  • icon

    Pablo
    el 21/5/18

    Hola buenas, si pudierais ayudarme con este ejercicio os lo agradeceria

    replythumb_up0 voto/sflag
    icon

    Antonius Benedictus
    el 22/5/18

    icon

    Sebastian Quintero
    el 22/5/18


    thumb_up1 voto/sflag
  • icon

    Dani Mendez
    el 21/5/18
    flag

    Buenas tardes, acabo de hacer este ejercicio pero no se si el resultado es el correcto. Agradezco mucho su ayuda. El ejercicio en cuestion es este Encuentre la tasa de interés nominal anual que corresponde a una tasa efectiva de 8.16% compuesta semestralmente

    replythumb_up0 voto/sflag
    icon

    Antonius Benedictus
    el 22/5/18

    La página no atiende por ahora ejercicios de Economía. Lo sentimos. Un saludo.

    thumb_up1 voto/sflag
  • icon

    Piotr
    el 21/5/18

    Hola me gustaría saber si el problema está bien. Si no se entiende algo díganme porque está todo un poco desastroso. Los resultados son 423'7 segundos y 9999'32 metros. He posteado esta cuestión también el el foto de física ya que no sé bien dónde entraría mejor pues este tema también lo vemos en matemáticas. 

    replythumb_up0 voto/sflag
    icon

    Carlos Flores
    el 22/5/18

    Hola José María.

    La respuesta ya la tienes en el foro de física.

    thumb_up1 voto/sflag
  • icon

    Samuel Cabaleiro Villar
    el 21/5/18
    flag

    Una pregunta para que te den medallas tienes que llevar un tiempo en en blog o algo???


    replythumb_up0 voto/sflag
    icon

    Guillem De La Calle Vicente
    el 21/5/18

    No, sólo tienes que estar registrado como estás. Si vas a tu perfil y a mis medallas, te tienen que salir.

    Saludos.

    thumb_up0 voto/sflag
  • icon

    Rodrigo Iglesias Santos
    el 21/5/18

    Un cine dispone de tres salas. El precio de la sala A es de 7 euros, el de la sala B es de 8 euros y el de la sala C es de 9 euros. Un día determinado, la recaptación conjunta de las tres salas fue de 1520 euros y el nombre total de espectadores fue de 200 personas. También sabemos que hubo tanto espectadores en la sala A como en las otras dos salas juntas. Calcula el numero de espectadores que acudió a cada una de las salas.

    Me podrían  ayudar a resolverlo?

    replythumb_up0 voto/sflag
    icon

    Antonio
    el 21/5/18

    Sea x el numero de espectadores que acudió a la sala A.

    Sea y el numero de espectadores que acudió a la sala B.

    Sea z el numero de espectadores que acudió a la sala C.


    por lo que tenemos:

    7x+8y+9z=1520

    x+y+z=200

    x=y+z

    se resuelve este sistema y listo

    thumb_up0 voto/sflag
  • icon

    Giampier Alfonso Carrion Huaripata
    el 21/5/18

    Podrían ayudarme con la pregunta c ?


    replythumb_up0 voto/sflag
    icon

    Antonius Benedictus
    el 21/5/18


    thumb_up0 voto/sflag
    icon

    Giampier Alfonso Carrion Huaripata
    el 22/5/18

    Muchas Gracias


    thumb_up1 voto/sflag
  • icon

    Rodrigo Iglesias Santos
    el 21/5/18

    A/ Calcula el rango de la matriz asociada al sistema y el de la matriz ampliada

    B/ Calcula el determinante de la matriz asociada

    C/ Estudia la compatibilidad del sistema del Rouche

    D/ Justifica si "x" es igual a 1, "y" es igual a 1 y "z" es igual a 1

    Podrían ayudarme a resolverlo?

    B/

    replythumb_up0 voto/sflag
    icon

    Antonius Benedictus
    el 22/5/18

  • icon

    Rodrigo Iglesias Santos
    el 21/5/18


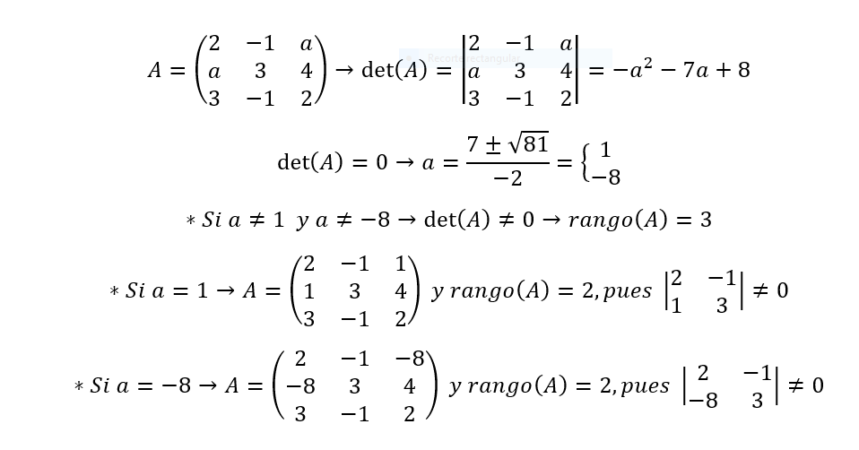
    Determina el rango, utilizando determinantes, según el parámetro "a"


    Me pueden ayudar a resolverlo?

    replythumb_up0 voto/sflag
    icon

    Jeison
    el 21/5/18
    flag


    thumb_up0 voto/sflag
    icon

    Rodrigo Iglesias Santos
    el 21/5/18

    gracias


    thumb_up1 voto/sflag
    icon

    Antonius Benedictus
    el 21/5/18


    thumb_up0 voto/sflag