Foro de preguntas y respuestas de Matemáticas

logo beUnicoos
Los foros de unicoos se han unificado en nuestra nueva plataforma beUnicoos. Para dejar nuevas preguntas deberás hacerlo allí, donde además podrás encontrar nuevas asignaturas y herramientas para ayudarte más con tus estudios.

  • icon

    Alfonso Barcelona Soria
    el 15/5/18

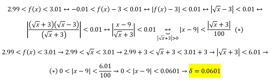
    ¿Podrían ayudarme con esta derivada?


    replythumb_up0 voto/sflag
    icon

    Gabriel
    el 15/5/18

    derivada del cociente de dos funciones.

    f(x)=g(x)/h(x)

    f`(x)=[g'(x)·h(x)-g(x)·h'(x)]/h2(x)

    thumb_up1 voto/sflag

    Usuario eliminado
    el 15/5/18

    Aplica la derivada de una división y la regla de la cadena

    f'(x)=u' * v -u *v '  ⁄  v2  


    Resultado =    

    xsin(x2+1)

    thumb_up0 voto/sflag
  • icon

    Pamela Zambrano
    el 15/5/18


    replythumb_up0 voto/sflag
    icon

    Antonius Benedictus
    el 15/5/18


    thumb_up0 voto/sflag
  • icon

    Sandra
    el 15/5/18

    Y con esto por favor 

    replythumb_up0 voto/sflag
    icon

    Antonius Benedictus
    el 15/5/18


    thumb_up0 voto/sflag
  • icon

    Sandra
    el 15/5/18

    Hola. Podrías decirme como es esta integral? Muchísimas gracias

    replythumb_up0 voto/sflag
    icon

    César
    el 15/5/18

    thumb_up0 voto/sflag
    icon

    César
    el 15/5/18

    https://es.symbolab.com/solver/indefinite-integral-calculator/%5Cint%20e%5E%7Bx%7Dsin%5Cleft(x%5Cright)dx

    thumb_up0 voto/sflag
  • icon

    Sofía
    el 15/5/18

    Hola! Repito mi pregunta porque no recibi una respuesta concreta y realmente necesito ayuda. Primero para el ejercicio a) la ecuación continua está bien de esa manera? O debería poner x-0 y-0? Y para el ejercicio b) como hago para pasar a la ecuación implicita si la parametrica y la continua quedan de ess manera? O no se puede? Gracias!

    replythumb_up0 voto/sflag
    icon

    César
    el 15/5/18

    Esta perfecto Sofia


    thumb_up0 voto/sflag
  • icon

    Katty Elizabeth
    el 15/5/18

    Buenas meayudan con esto .porfavor ,,tengo la recuperacion pasado mañana

    replythumb_up0 voto/sflag
    icon

    Antonius Benedictus
    el 15/5/18

    Pon foto del enunciado original, por favor.

    thumb_up0 voto/sflag
  • icon

    Jesus Garcia
    el 15/5/18

    Buenas, me podría ayudar a realizar este ejercicio de funciones ?? 


    replythumb_up0 voto/sflag
    icon

    César
    el 15/5/18


    thumb_up1 voto/sflag
    icon

    Jesus Garcia
    el 15/5/18

    Gracias :) 

    thumb_up0 voto/sflag
  • icon

    Carla Fernández
    el 15/5/18

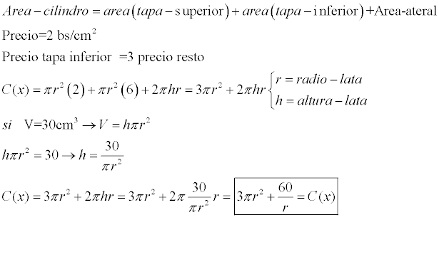
    Buenas, tengo este ejercicio de derivadas y no se si se puede calcular primero el m.c.m y despues hacer la derivada o tengo que hacer la regla de la cadena.

    replythumb_up0 voto/sflag
    icon

    Katty Elizabeth
    el 15/5/18

    primero el m.c.m

    thumb_up0 voto/sflag
    icon

    Guillem De La Calle Vicente
    el 15/5/18


    thumb_up0 voto/sflag
  • icon

    Ashley
    el 15/5/18

    Hola !! En este ejercicio en el apartado a) hay que hacer P(x=5) ?? En el b) sería P(x=2) ?? Gracias !!!


    replythumb_up0 voto/sflag
    icon

    Antonius Benedictus
    el 15/5/18

    a) p(X=5)

    b) p(X=0)+p(X=1)+p(X=2)

    c) p(X=3)+p(X=4)+p(X=5)+p(X=6)

    Parece que tenemos problemas con los adverbios.

    thumb_up0 voto/sflag
    icon

    Guillem De La Calle Vicente
    el 15/5/18


    thumb_up1 voto/sflag