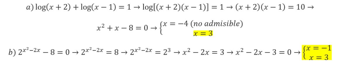
Cuando calculo la asíntota horizontal, la encuentro en y =0. Sin embargo en el gráfico se ve claramente que la funcion toca o pasa por ese punto.
Cómo es eso posible? Me confunde mucho conceptualmente, se suponen que la funcion se acerca a la asintota, pero nunca la toca.

Plantea el determinante:
|A-m*I| =
-m 1 1
0 3-m 0
0 -1 3-m.
Luego, desarrollas el determinante (te dejo la tarea, y queda:
|A-m*I| = -m*(3-m)2.
Luego, plantea la condición de matriz invertible:
|A-m*I| ≠ 0,
sustituyes la expresión del determinante en el primer miembro de la ecuación, y queda:
-m*(3-m)2 ≠ 0,
multiplicas en ambos miembros por-1, y queda:
m*(3-m)2 ≠ 0;
luego, por "no anulación" de un producto tienes dos opciones:
a)
m ≠ 0;
b)
(3-m)2 ≠ 0, extraes raíz cuadrada en ambos miembros, y queda:
3 - m ≠ 0, restas 3 en ambos miembros, y queda:
-m ≠ -3, multiplicas en ambos miembros por -1, y queda:
m ≠ 3.
Luego, planteas la matriz doble (A-2*I)-I, y queda:
A-2*I I
-2 1 1 1 0 0
0 1 0 0 1 0
0 -1 1 0 0 1;
a la primera fila le restas la segunda, a la tercera fila le sumas la segunda, y queda:
-2 0 1 1 -1 0
0 1 0 0 1 0
0 0 1 0 1 1;
a la primera fila le restas la tercera, y queda:
-2 0 0 1 -2 -1
0 1 0 0 1 0
0 0 1 0 1 1;
divides a la primera fila por -2, y queda:
1 0 0 -1/2 1 1/2
0 1 0 0 1 0
0 0 1 0 1 1
I (A-2*I)-1
Luego, tienes remarcada la expresión de la matriz inversa.
Espero haberte ayudado.