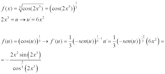
Por favor, ¿alguien puede darme el resultado de la derivada de f(x) = raiz cúbica de (cos2x3)?

Si la expresión de la función es:
f(x) = ∛( cos(2x3) ) = ( cos(2x3) )1/3;
luego, aplicas la regla de la cadena (observa que tienes una función monómica, compuesta con una función coseno, compuesta a su vez con una función potencia con exponente fraccionario), y queda:
f ' (x) = (1/3)*( cos(2x3) )-2/3*( -sen(2x3) )*6*x2.
Espero haberte ayudado.
Hola !! Me podéis ayudar con este ejercicios porfavor?? Muchas gracias !!!
De acuerdo a una encuesta a nivel nacional de EEUU de una universidad a estudiantes universitarios revela que el 70% de los estudiantes desaprueba el consumo diario de la marihuana. Si se seleccionan 7 estudiantes al azar y se les pide su opinión, encuentre la probabilidad de que el número de los que desaprueban fumar marihuana todos los días sea:
a) a lo más 5
b) no menos de 4
Hola,
En un ejercicio de distribución normal al final me queda que P(z<=k-15/5) = 0.25
El problema que ahora tengo es que en las tablas que tengo los valores van del 0.5 al 0.9999.
Seguro que es algo muy simple, pero no hay manera de encontrar la solución. ¿alguna ayuda? gracias
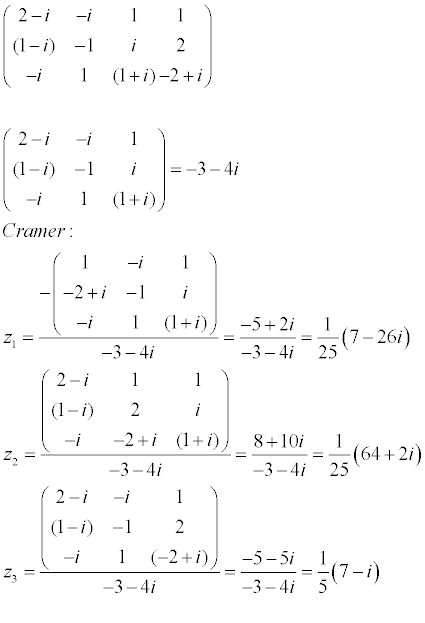
Buenas, verán, llevo unos días intentando resolver este sistema con números complejos. El problema es que empiezo haciéndolo eliminando los complejos de a21 y a31 y luego aún si intento sumando o restando columnas no se van a ir a 0 (el objetivo es que me quede de forma escalonada) pero nada. Sabéis como lo puedo resolver o que pasos tengo que seguir con un sistema de estas características? Gracias![]()

Observa que la recta r está definida como intersección, por lo que puedes plantear que uno de sus vectores directores es igual al producto vectorial de los vectores directores de los planos:
ur = <1,-2,0> x <0,1,-1> = <2,1,1>.
Observa que la recta s está definida como intersección, por lo que puedes plantear que uno de sus vectores directores es igual al producto vectorial de los vectores directores de los planos:
us = <1,-1,0> x <0,1,1> = <-1,-1,1>.
Luego, observa que los vectores directores de las rectas no son paralelos (te dejo la tarea de probarlo), por lo que tienes que las rectas no son paralelas.
Luego, a fin de determinar si las rectas tienes un punto de intersección, despejas x y también z en las ecuaciones de los planos que determinan la recta r, y queda:
x = 2y (a),
z = y - 1 (b).
luego, sustituyes las expresiones señaladas (a) (b) en las ecuaciones de los planos que determinan la recta s, y queda el sistema de ecuaciones:
2y - y = 1, reduces términos semejantes, divides por 3 en ambos miembros, y queda: y = 1/3 (c),
y + y -1 = a, reduces términos semejantes, y queda: 2y - 1 = a (d);
luego, reemplazas el valor señalado (c) en la ecuación señalada (d), y queda:
2(1/3) - 1 = a, resuelves, y queda: -1/3 = a;
luego, reemplazas el valor señalado (c) en las ecuaciones señaladas (a) (b), y queda:
x = 2/3,
z = -2/3.
Luego, tienes que para a = -1/3, las dos rectas se cortan en el punto: A(2/3,1/3,-2/3),
por lo que puedes concluir que las dos rectas y el punto A pertenecen a un plano cuyo vector normal es:
n = ur x us = <2,1,1> x <-1,-1,1> = <2,-3,-1>.
Espero haberte ayudado.
Hola, me dan una mano con este?. Nose si tengo que estudiar la continuidad punto por punto, es decir en los puntos del dominio de la funcion, o hay otra manera. Gracias!

¡Hola! Nos encantaría ayudarte, pero no solemos responder dudas universitarias que no tengan que ver específicamente con los vídeos que David Calle ha grabado como excepción. O de otras asignaturas que no sean Matemáticas, Física y Química. Lo sentimos de corazón… Esperamos que lo entiendas.
Ojalá algún unicoo universitario se anime a ayudarte (de hecho, lo ideal es que todos los universitarios intentarais ayudaros los unos a los otros).