Foro de preguntas y respuestas de Matemáticas

logo beUnicoos
Los foros de unicoos se han unificado en nuestra nueva plataforma beUnicoos. Para dejar nuevas preguntas deberás hacerlo allí, donde además podrás encontrar nuevas asignaturas y herramientas para ayudarte más con tus estudios.

  • icon

    Kevin Leonardo
    el 8/5/18

    Ayuda con este ejercicio también, me dijeron que aplicara teorema de bolzano pero no sé como podría hacerlo.

    replythumb_up0 voto/sflag
    icon

    Antonius Benedictus
    el 8/5/18


    thumb_up0 voto/sflag
  • icon

    Diego Mauricio Heredia
    el 8/5/18

    Saludos unicoos, ayuda por favor con el ejercicio número 25. Gracias de antemano 


    replythumb_up0 voto/sflag
    icon

    Antonius Benedictus
    el 8/5/18


    thumb_up0 voto/sflag
  • icon

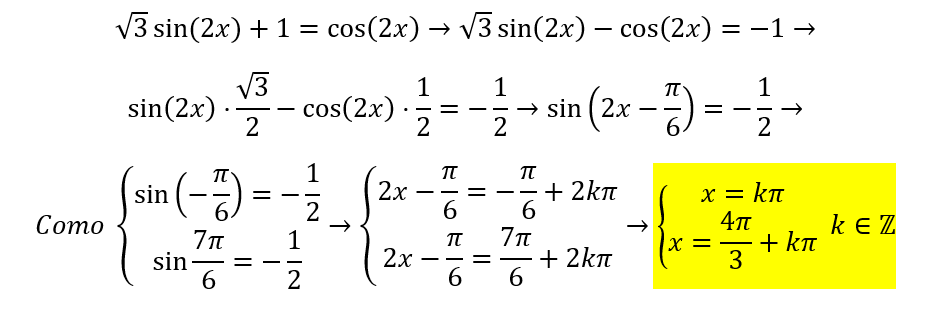
    Kevin Leonardo
    el 8/5/18

    Hola, necesito ayuda con esta ecuación trigonometrica por favor.


    replythumb_up0 voto/sflag
    icon

    Antonius Benedictus
    el 8/5/18


    thumb_up0 voto/sflag
  • icon

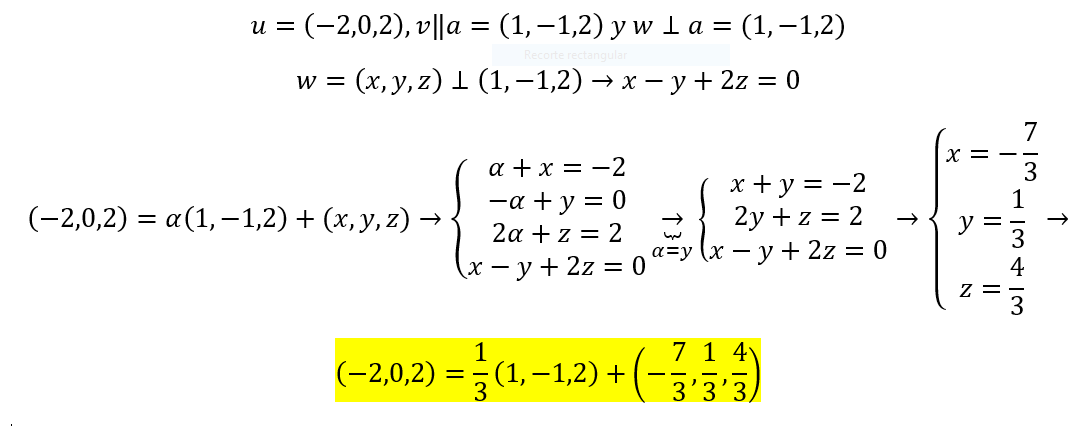
    Nico Tornero
    el 7/5/18

    Hola, no entiendo como plantear el ejercicio, me pueden ayudar?
    Expresa el vector U=(-2,0,2) como suma de V y W donde V es colineal con A=(1,-1,2) y W perpendicular a A
    Muchas gracias !

    replythumb_up0 voto/sflag
    icon

    Antonius Benedictus
    el 8/5/18


    thumb_up1 voto/sflag
  • icon

    Marinés Querab
    el 7/5/18

    Hola. Buenas tardes.

    Podrían ayudarme con este ejercicio de Álgebra. Desde ya muchas gracias.

    Hallar la ecuación del plano que pasa por el origen y es perpendicular al vector v= (-1; 3; 2)

    replythumb_up0 voto/sflag
    icon

    Gabriel
    el 8/5/18

     

    thumb_up1 voto/sflag
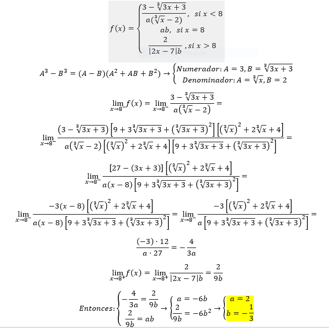
  • Usuario eliminado
    el 7/5/18

    Hola, ¿Cómo hago esto?


    replythumb_up0 voto/sflag
    icon

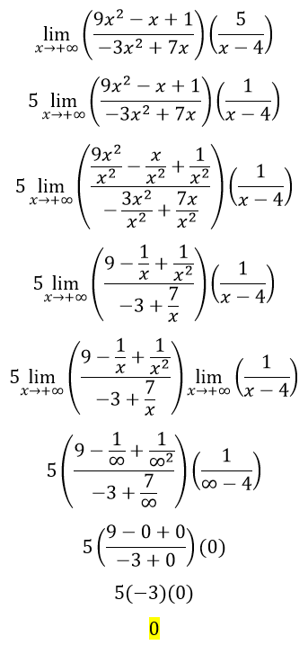
    Carlos Flores
    el 8/5/18

    Hola Mic 

    Te dejo la resolución del límite:

    Espero haberte ayudado.

    Saludos

    thumb_up0 voto/sflag
    icon

    Gabriel
    el 8/5/18


    thumb_up0 voto/sflag

    Usuario eliminado
    el 8/5/18

    ¿Por qué el 5 pasa afuera?

    thumb_up0 voto/sflag
  • icon

    Karen
    el 7/5/18

    Como hago para resolver el límite con logaritmo natural?

    replythumb_up0 voto/sflag
    icon

    Antonius Benedictus
    el 7/5/18


    thumb_up1 voto/sflag
  • icon

    Laura Viñuela
    el 7/5/18

    me podeis ayudar con esto?


    Dada la funcion f(x)=3x-5/x+2, expresala del siguiente modo f(x)=c(x)+(r(x)/d(x)) , y realiza un esbozo de su forma grafica en el plano . indica las ecuaciones de sus posibles asintotas horizontales y verticales


    replythumb_up0 voto/sflag
    icon

    Guillem De La Calle Vicente
    el 7/5/18


    thumb_up1 voto/sflag
  • icon

    Arnau Planas
    el 7/5/18

    Buenas noches, ¿me podrían ayudar con este ejercicio de geometría en el espacio?

    Dado ∏: 2x + y-2z +4 =0

    - Hallar la posición relativa del plano ∏ y la recta s: (x-a)/2 = (y+3)/ 1 = (z-1)/b según los valores de a y b

    Muchas gracias

    replythumb_up0 voto/sflag
    icon

    Antonius Benedictus
    el 7/5/18


    thumb_up1 voto/sflag
  • icon

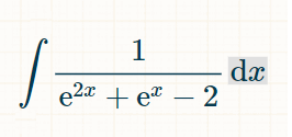
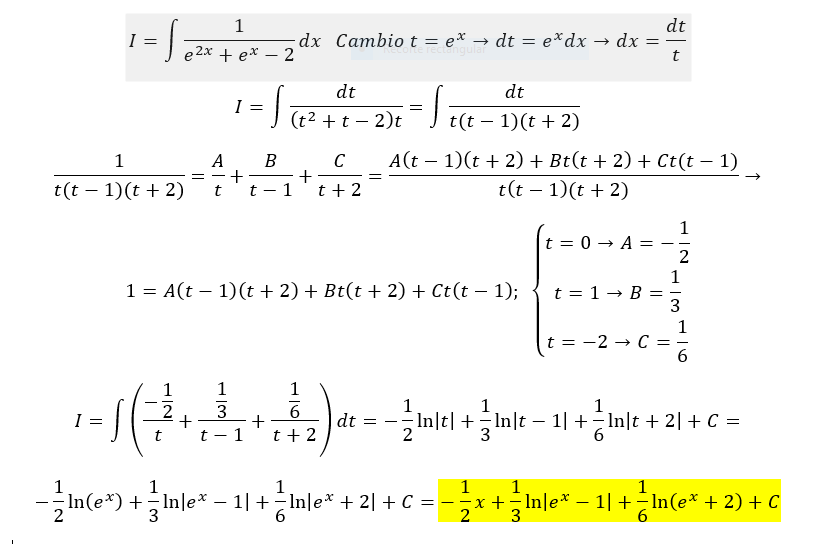
    Alexis Armengol
    el 7/5/18

    Hola, alguien me podria ayudar con esta integral, se que debo hacer el método de sustitución y después el método de fracciones simples, pero no se como:



     


    replythumb_up0 voto/sflag
    icon

    Antonius Benedictus
    el 7/5/18


    thumb_up0 voto/sflag