Hola, podrían ayudarme con esta ecuación diferencial, gracias!!
y´ + y/x = e^2x
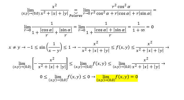
El problema que tengo es que me doy cualquier conjunto y siempre me sale que es igual a 0, pero no consigo el acotamiento necesario para probarlo, alguien podría guiarme con dicho acotamiento, o en cualquier otro caso un conjunto que sí me dé distinto de 0?, muchas Gracias :)
alguien me podría ayudar con restos potenciales y criterios de divisibilidad

Hola Geraldine
Te dejo un enlace con información al respecto:
http://www.ecoribera.org/ciencias/matematicas/eso/46-criterios-de-divisibilidad-restos-potenciales
Espero haberte ayudado.
Saludos
Derivamos c(x) e igualamos a cero.
La temperatura óptima sería 15.5 grados centigrados.
Para saber la producción de tomates reemplazamos en la ecuación inicial.
La producción de tomates en un invernadero, C(x) en kg, depende de la temperatura, x en ºC, según la expresión: C(x) = (x + 1) 2 (32 - x)
a) Calcular razonadamente cuál es la temperatura optima a mantener en el invernadero.
b) ¿Qué producción de tomates se obtendría?
Esta resuelta bien? puede escribir mas explicadas o no?
explicadas.