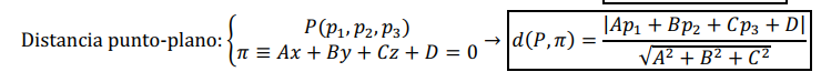
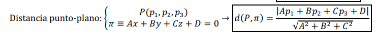
hola tengo este problemaMe dice que los lados paralelos de un trapecio miden 6 y 8 y los otros dos miden 3. Hallar las longitudes de sus diagonales y su área. no se por donde meterle mano. gracias
Hola, soy David de 6º de primaria , os doy gracias de antemano y os pido ayuda con este problema de fracciones que parece sencillo pero no me da el resultado correcto:
De un tonel de 300 litros de vino sacamos cada día 14 jarras de 1/3. ¿Durante cuántos días podemos estar sacando el vino?
Me podrán decir si plantee el siguiente ejercicio correctamente en el apartado A:
Y ¿Como procedo en el apartado B?
Buenas tardes,
Tengo una pequeña duda a la hora de determinar k en la tabla de la normal (0,1) cuando estoy intentado determinar intervalos de confianza. Por ejemplo, en un intervalo de confianza del 99%, (1+0,99)/2 es igual a 0,995. Cuando voy a la tabla este valor no se encuentra exactamente, por lo que tengo la duda de si debo elegir, 2,58 que corresponde a 0,9951 o debo elegir 2,57 que corresponde a 0,9949 o si debo hacer media con 2,58 y 2,57.
Gracias por vuestra ayuda.
Buenas tardes, tengo un problema con un ejercicio de economía y me gustaría saber si me podríais ayudar con el:
Calcula la cuota de mercado, cuota de consumidor, cuota de ventas y tasa de variación con los siguientes datos de 2018:
Ventas en unidades de la empresa: 200.000 ud
Importe de las ventas: 400.000€
Ventas totales en unidades del mercado: 2.000.000 ud
Importe total de las ventas del mercado: 6.000.000€
Número de consumidores de la empresa 40
Número total de consumidores del mercado 200
Cuota de mercado de 2017: 9%
Sé que hay que hacer todas las cuotas de mercado pero a partir de eso no se que mas hacer.
Gracias de todas formas.