Hola, tengo que llevar para mañana las deducciones de las fórmulas de la diferencia de ángulos (sen(alfa-beta) cos y tg) a partir de las fórmulas de la suma de dos ángulos, llevo un rato dándole vueltas a como podría deducirlas pero esq no tengo ni idea, me podrían ayudar?

Debes tener en cuenta las identidades trigonométricas del ángulo opuesto y de la suma de dos ángulos:
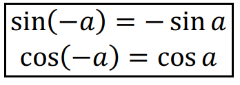
sen(-x) = -senx (1),
cos(-x) = cosx (2),
tan(-x) = -tanx (3),
sen(x + y) = senx*cosy + senx*seny (4),
cos(x + y) = cosx*cosy - senx*seny (5),
tan(x + y) = (tanx + tany) / (1 - tanx*tany (6),
y la identidad de transformación de una resta en suma:
x - y = x + (-y) (7).
1)
sen(a-b) = aplicas la identidad (7):
= sen( a+(-b) ) = aplicas la identidad (4):
= sena*cos(-b) + cosa*(sen(-b) = aplicas las identidades (2) (1):
= sena*cosb + cosa*(-senb) = resuelves el signo en el segundo término:
= sena*cosb - cosa*senb.
2)
cos(a-b) = aplicas la identidad (7):
= cos( a+(-b) ) = aplicas la identidad (5):
= cosa*cos(-b) - sena*sen(-b) = aplicas las identidades (2) (1):
= cosa*cosb - sena*(-senb) = resuelves el signo en el segundo término:
= cosa*cosb - sena*senb.
3)
tan(a-b) = aplicas la identidad (7):
= tan( a+(-b) ) = aplicas la identidad (5):
= ( tana + tan(-b) ) / ( 1 - tana*tan(-b) ) = aplicas la identidad (3):
= ( tana + (-tanb) ) / ( 1 - tana*(-tanb) ) = resuelves signos en el numerador y en el denominador:
= (tana - tanb) / (1 + tana*tanb).
Espero haberte ayudado.
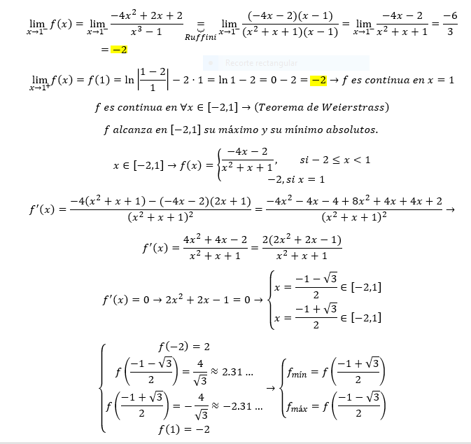
Hola! Como hago el b) i) ??? En la primera parte me da que la funcion no es continua, por ende no deberia de tener maximos y minimos...
Ayudaaaaaaaaaaaa!
Hola agustina. El teorema va asi:
Sea I:=[a,b] un intervalo acotado cerrado y sea f:I→R continua en I. Entonces f tiene un maximo absoluto y un minimo absoluto en I.
Si no pedis continuidad podrias tener un caso como g(x):T→R, T:=[0,1], g(x)=0 para x=0 y g(x)=1/x para x!=0. Aca hay un minimo en 0 que pertenece a T, pero el maximo no pertenece a T.
Saludos.
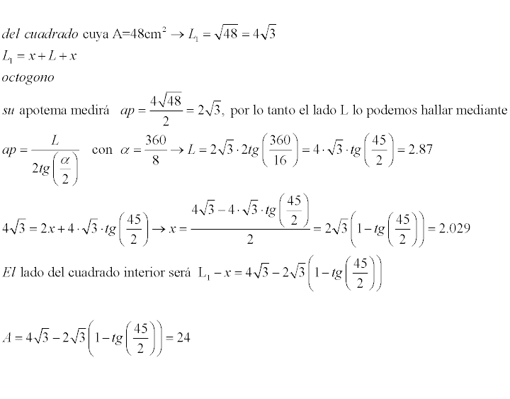
Hola buenas, tengo dudas con respecto a este ejercicio (ejercicio 1). Si pueden por favor explicarme el paso a paso se los agradecería. Por otra parte, tengo entendido que si el producto mixto entre las dos rectas es 0, estarían incluidas en el mismo plano, se debe desarrollar a partir de eso? como se podría hacer?. Gracias![]()
Hola, mañana tengo un examen de física y no entiendo este ejercicio. ¿Alguien puede ayudarme a hacerlo, por favor? Esque no sé la velocidad inicial del objeto que cae. ![]()

Establece un sistema de referencia con eje de posiciones (alturas) OY con dirección vertical y sentido positivo hacia arriba, con origen al nivel del suelo, y con instante inicial: ti = 0 correspondiente al momento en que se suelta el objeto.
Luego, tienes los datos iniciales:
ti = 0, yi = 400 m, vi = 5 m/s, a = -g ≅ - 10 m/s2.
Luego, planteas las ecuaciones de posición y de velocidad de Movimiento Rectilíneo Uniformemente Variado:
y = yi + vi*t + (1/2)*a*t2,
v = vi + a*t;
luego, reemplazas valores, resuelves coeficientes, y queda:
y = 400 + 5*t - 5*t2,
v = 5 - 10*t.
Luego, planteas la condición de llegada al suelo:
y = 0, sustituyes la expresión de la posición en el primer miembro, y queda:
400 + 5*t - 5*t2 = 0, divides por -5 en todos los términos de la ecuación, ordenas términos, y queda:
t2 - t - 80 = 0, que es una ecuación polinómica cuadrática, cuyas soluciones son:
1)
t ≅ -8,458 s, que no tiene sentido para este problema;
2)
t ≅ 9,458 s,
que es el instante en que el cuerpo toca el suelo;
luego, reemplazas el valor remarcado en la ecuación de velocidad, y queda:
v ≅ 5 - 10*9,458 ≅ -89,582 m/s,
que es valor de la velocidad del cuerpo justo antes de tocar el suelo.
Espero haberte ayudado.