Hola! Necesito una mano para resolver estos ejercicios de diferenciabilidad en dos variables:
* Debo estudiar la diferenciabilidad de f en TODO su dominio. El procedimiento se que corresponde a calcular las derivadas primeras y, si estas son continuas, sabré que es diferenciable la f correspondiente, pero no estoy seguro de haberlo hecho bien. Gracias de antemano

¡Hola! Nos encantaría ayudarte, pero no solemos responder dudas universitarias que no tengan que ver específicamente con los vídeos que David Calle ha grabado como excepción. O de otras asignaturas que no sean Matemáticas, Física y Química. Lo sentimos de corazón… Esperamos que lo entiendas.
Ojalá algún unicoo universitario se anime a ayudarte (de hecho, lo ideal es que todos los universitarios intentarais ayudaros los unos a los otros).
Saludos cordiales unicoos, necesito ayuda por favor. Por lo menos con el inciso a o cualquier inciso del ejercicio número 2.
Gracias de antemano
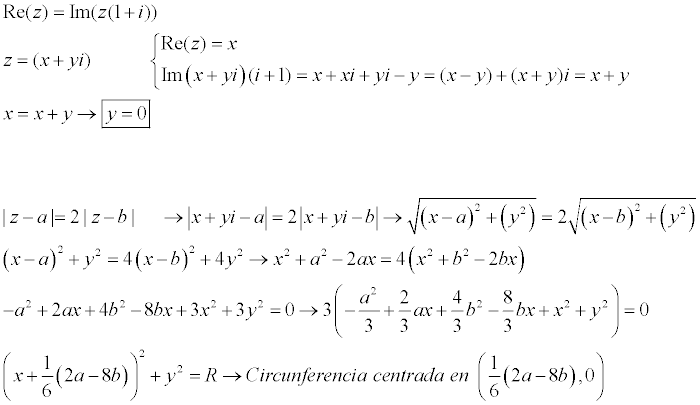
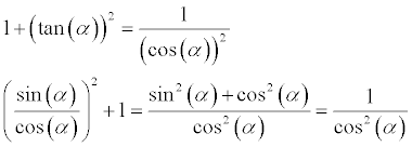
Hola, quisiera saber si lo estoy haciendo bien. En f(x) el primero me dá el número, pero en el segundo no.

Hola Mic
Te dejó la forma en la que resolví el ejercicio.
Si quieres comprobar el gráfico puedes utilizar GeoGebra.
https://www.geogebra.org/graphing
Saludos