
Tienes 20 litros de alcohol 56°, por lo que tienes:
a1 = 0,56*20 = 11,2 litros de alcohol puro,
h1 = (1 - 0,56)*20 = 0,44*20 = 8,8 litros de agua.
Tienes 80 litros de alcohol 36°, por lo que tienes:
a2 = 0,36*80 = 28,8 litros de alcohol puro,
h2 = (1 - 0,36)*80 = 0,64*80 = 51,2 litros de agua.
Luego, con los dos líquidos mezclados tienes en total 100 litros:
a12 = 11,2 + 28,8 = 40 litros de alcohol puro,
h12 = 8,8 + 51,2 = 60 litros de agua,
y observa que la proporción de alcohol puro es: pa = 40/100 = 0,4,
y observa que la proporción de agua es: ph = 60/100 = 0,6.
Luego, retiras x litros de la mezcla (0,4x de alcohol puro y 0,6x de agua), y tienes:
a = 40 - 0,4x litros de alcohol puro,
h = 60 - 0,6x litros de agua.
Luego, agregas x litros de agua, y tienes:
A = 40 - 0,4x litros de alcohol puro,
H = 60 - 0,6x + x = 60 + 0,4x litros de agua;
y observa que la proporción de alcohol puro es:
P = (40 - 0,4x)/100 (1).
Luego, tienes la graduación de alcohol final en tu enunciado (28°), por lo que puedes plantear:
P = 28/100, sustituyes la expresión señalada (1) en el primer miembro, y queda:
(40 - 0,4x)/100 = 28/100, multiplicas por 100 en ambos miembros, y queda:
40 - 0,4x = 28, restas 40 en ambos miembros, y queda:
-0,4x = -12, divides por -0,4 en ambos miembros, y queda:
x = 30 litros.
Espero haberte ayudado.
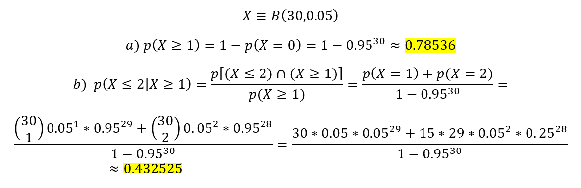
Hola me ayudan por favor con la siguiente probabilidad?
En una fabrica se fabrican lámparas. La probabilidad de que una lámpara esté defectuosa es igual a 0.05. Se analiza una muestra aleatoria compuesta por 30 lámparas.
Halle la probabilidad de que en la muestra haya al menos una lámpara defectuosa
Sabiendo que en la muestra hay al menos una lámpara defectuosa , halle la probabilidad de que haya como máximo dos lámparas defectuosas.
Sera que me podéis ayudar con esta? hay En la clase de 1er de la Facultad de Medicina
el 60 % son chicas y el 40 % chicos. El
25 % de las chicas y el 15 % de los chicos
escucha música mientras estudia. Si una ´
persona elegida al azar dentro de esta clase,
escucha música mientras estudia, ¿Cual es la probabilidad de que sea chica?
La población de ratas de una localidad en el año 2006 es de 1500 individuos. Si se reproducen de tal forma que cada año duplican su número:
a) Calcula la expresión de la función que relaciona la población de ratas con los años transcurridos a partir de 2006.
Gracias de antemano.
Hola unicoos,tengo un problema de Geometría.
Encontrar una recta L que sea perpendicular a L´: X = λ(1,-3,4)+(1,-2,1), paralela al plano π: -x+y-2z=9 y que tenga un punto en común con L1: X= t(-1,4,5) + (0,3,2).
Hola, ayuda con este ejercicio porfa: Calcula el volumen de la figura limitada por el plano π: x + 2y - 3z - 6 = 0 y los tres planos coordenados. Gracias !!!

x=0, y=0 da z=-2 punto A(0,0,-2)
x=0, z=0 da y=3 punto B(0,3,0)
y=0, z=0 da x=6 punto C(0,0,6)
Como O(0,0,0) tendremos: vactor(OA)=(0,0,-2), vector (OB)=(0,3,0) y vector (O,C)=(0,0,6)
El volumen del tetraedro OABC es.
V=(1/6) producto mixto (OA,OB,OC)= (1/6) (valor absoluto del determinante formado por (0,0,-2),(0,3,0),(0,0,6)) = 6 u^3
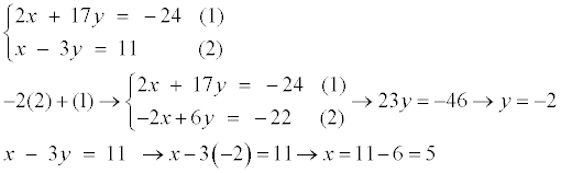
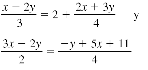
Ayuda con este sistema de ecuaciones. ¿Como haria para pasar el siguiente sistema de ecuaiones a una forma mas sencillas? Por ejemplo que la primera ecuaciones pasara a la forma 10x+2y=24, no se que hacer con el +11 de la segunda ecuacion. Agradeceria mucho su ayuda ![]()

En la primera ecuación:
multiplicas por 12 en todos sus términos, simplificas denominadores, y queda:
4(x - 2y) = 24 + 3(2x + 3y), distribuyes los factores comunes, y queda:
4x - 8y = 24 + 6x + 9y, restas 6x y restas 9y en ambos miembros, y queda:
-2x - 17y = 24, multiplicas por -1 en todos los términos de la ecuación, y queda:
2x + 17y = -24.
En la segunda ecuación:
multiplicas por 4 en ambos miembros, simplificas denominadores, y queda:
2(3x - 2y) = -y + 5x + 11, distribuyes en el primer miembro, y queda:
6x - 4y = -y + 5x + 11, restas 5x y sumas y en ambos miembros, y queda:
x - 3y = 11.
Espero haberte ayudado.