Hola, alguien que me corrija por favor:
Considerando la palabra CACAHUATE, ¿Cuántas de las secuencias tienen todas las vocales juntas?.
Siguiendo el desarrollo de un ejercicios similar, mi desarrollo es:
Pero me confundo en que ésta podría ser la respuesta correcta, pues C se repite dos veces y la considero como C2 y no como C,C:
Saludos y muchas gracias!

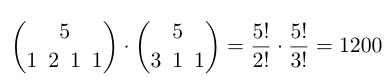
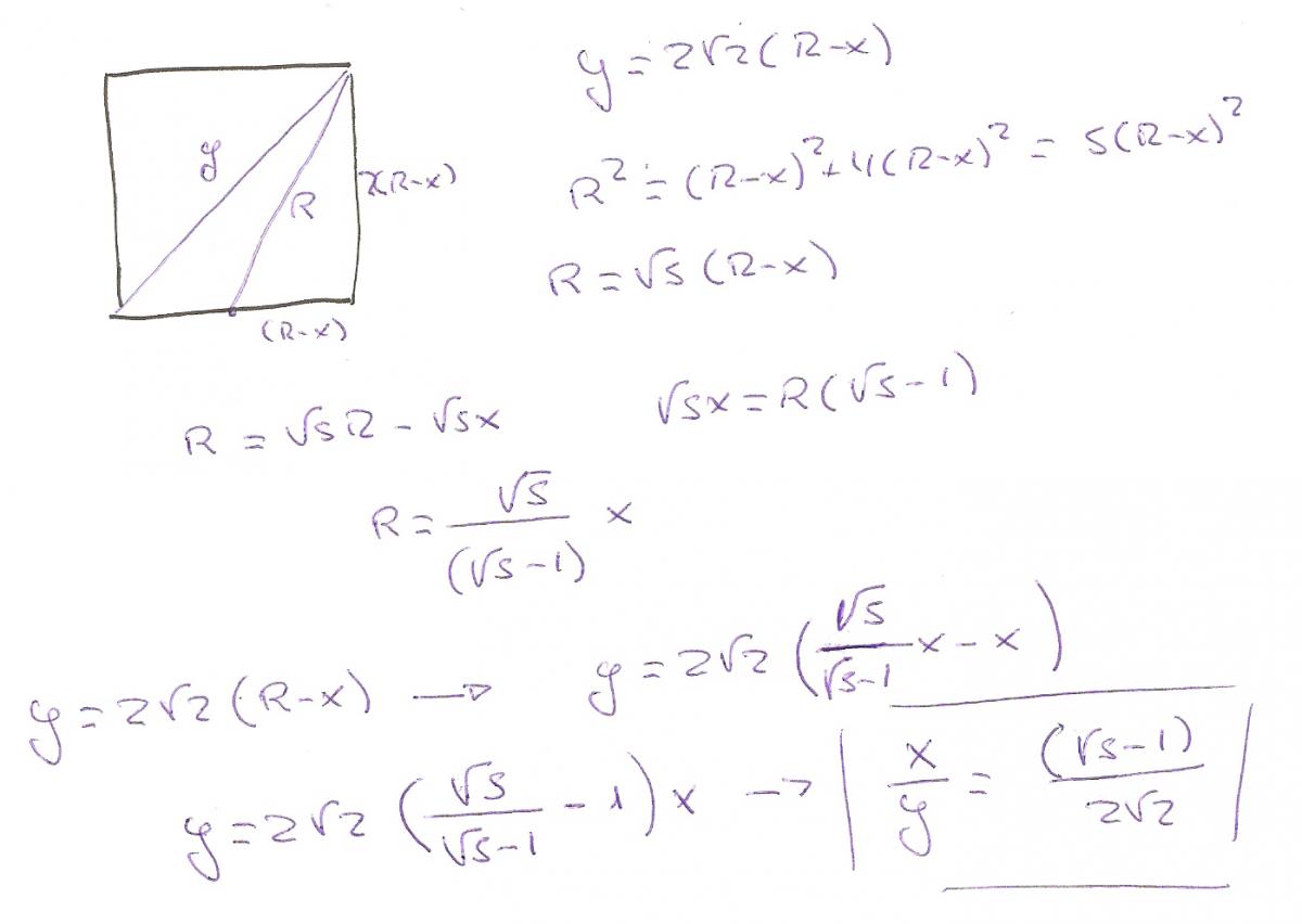
Observa que la palabra CACAHUATE tiene cinco vocales (AAAEU) y cuatro consonantes (CCHT).
1°)
Considera todas las ubicaciones posibles que tienes con las cinco vocales juntas:
VVVVVCCCC - CVVVVVCCC - CCVVVVVCC - CCCVVVVVC - CCCCVVVVV,
que son en total: N1 = 5.
2°)
En cada caso del primer paso, considera las ubicaciones que tienes para las vocales E y U:
N2 = 2*C(5,2) = 2*10 = 20,
observa que debes elegir dos lugares entre cinco, y observa también que tienes dos opciones: EU y UE,
y observa que los tres lugares disponibles para las vocales quedan para las letras: AAA.
3°)
En cada caso del primer paso, considera las ubicaciones que tienes para las las consonantes H y T:
N3 = 2*C(4,2) = 2*6 = 12,
observa que debes elegir dos lugares entre cuatro, y observa también que tienes dos opciones: HT y TH),
y observa que los tres lugares disponibles para las vocales quedan para las letras: CC.
Luego, por el principio de multiplicación, tienes para la cantidad de palabras que se pueden formar que tengan a las cinco vocales juntas:
N = N1*N2*N3 = 5*20*12 = 1200.
Espero haberte ayudado.

Otra forma.
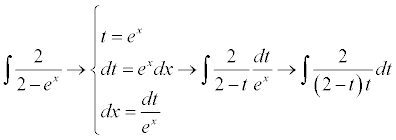
Puedes plantear la sustitución (cambio de variable):
x = lnt, de donde tienes:
dx = (1/t)*dt, también tienes:
ex = elnt = t.
Luego, sustituyes las expresiones remarcadas en la integral de tu enunciado, y queda:
I = ∫ ( 2/(2-t) )*(1/t)*dt = ∫ ( 2 / (2-t)*t )*dt (1),
que es la expresión que indica el colega César.
Luego, puedes plantear el Método de las Fracciones Parciales:
2 / (2-t)*t = a/(2-t) + b/t = ( a*t + b*(2-t) ) / (2-t)*t (2);
luego, por igualdad entre expresiones algebraicas fraccionarias tienes que los numeradores remarcados son iguales, por lo que puedes plantear la igualdad entre polinomios:
a*t + b*(2-t) = 2,
luego evalúas para dos valores reales (observa que los más convenientes son: t = 0 y t = 2), y queda el sistema de ecuaciones:
b*2 = 2, aquí divides por 2 en ambos miembros, y queda: b = 1;
a*2 = 2, aquí divides por 2 en ambos miembros, y queda: a = 1;
luego, reemplazas en el segundo miembro de la cadena de igualdades señalada (2), y queda para el argumento de la integral:
2 / (2-t)*t = 1/(2-t) + 1/t (3).
Luego, sustituyes la expresión señalada (3) en el argumento de la integral señalada (1), y queda:
I = ∫ ( 1/(2-t) + 1/t )*dt,
y puedes continuar la tarea.
Espero haberte ayudado.