Hola Unicoos
Se podría hacer un plano así? Con un punto de r el vector de r y otro punto P que me dan? O ambos vectores tienen que tener de origen el punto P?
Gracias
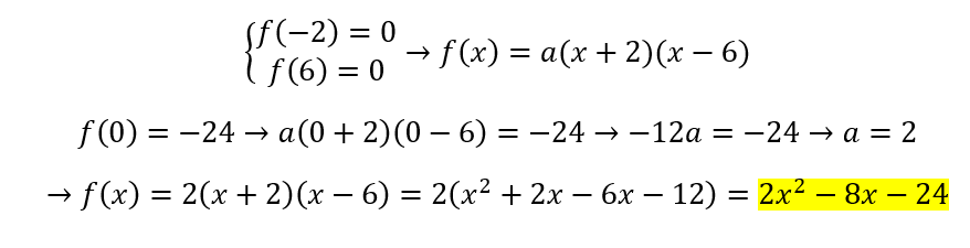
Déterminer la fonction polynôme du second degré dont la courbe représentative coupe l'axe des abscisses en (-2;0) et en (6;0); et cette même courbe coupe l'axe des ordonnes en (0;-24).
*ns como hacer este ejercicio me seria de gran utilidad una explicacion gracias de antemano y se hay algun video agradeceria mucho el link GRACIAS
hola unicoos me ayudariais con este ejercicio?
La cantidad de agua C, en millones de m3 de un embalse disminuye en funcion del tiempo t, en dias, un 3% diario.
a-) Encuentra la formula que de la cantidad de agua que tiene el embalse en funcion del tiempo transcurrido si la cantidad inicial era de 10 millones de m3
c-) ¿cuanto tiempo ha de pasar para que haya la mitad del agua?
Gracias de antemano.
a) C(t)= 10000000*(1-0.03)t= 10000000*0.97t
; donde C viene expresada en m3 y t en días.
c) 10000000*(0.97t) = (10000000/2) -----------> 0.97t = 1/2 --------->
------------->log(0.97t) = log(1/2) ---------> tlog0.97=log(1/2) -----> t=(log(1/2))/(log(0.97)) --------> t=22.75 días ≈ 23 días
f(X)=(2+X)^2 - (8X-1)(2+X)
1.Developper et reduire f(X) me da -7X^2-11X-6
2. factoriser ns como hacerlo
3.choisir l'expression de f(x)la plus adaptee pour resoudre dans ℝ :
a.f(x) > 0 b.f(X) < 6
*por favor me resultaria tener la solucion y tambien links de los videos donde se explica esto o una breve explicacion ya que se me ha lvidado muchisimas gracias de antemano
2.Factorizar:
Factorizamos haciendo f(x)=0. Tendremos que usar la fórmula general resolvente para ecuaciones de 2º grado
-7x2-11x+6 =0
La fórmula es
x1,2=(-b±√(b2-4*a*c))/(2*a)
La aplicamos:
(11±√(121-4*(-7)*6))/(-7*2)=
(11±√(289))/(-14)=
(11±17)/(-14)=
x1= -2
x2=(-6)/(-14) = 3/7
Entonces f(x)= -7x2-11x+6 = -7*(x+2)*(x-(3/7))

Tienes la expresión de la función:
f(x) = (2 + x)2 - (8x - 1)*(2 + x) (*).
1)
Desarrollas el binomio elevado al cuadrado en el primer término, distribuyes en el segundo término, y queda:
f(x) = 4 + 4x + x2 - (16x + 8x2 - 2 - x), distribuyes el signo en el agrupamiento, y queda
f(x) = 4 + 4x + x2 - 16x - 8x2 + 2 + x, reduces términos semejantes, ordenas términos, y queda:
f(x) = -7x2 - 11x + 6, que es la expresión desarrollada de la función.
2)
Observa que el factor (2 + x) es común a los dos términos de la expresión de la función señalada (*),
por lo que extraes factor común, y queda:
f(x) = (2 + x) * [ (2 + x) - (8x - 1) ], distribuyes los agrupamientos en el segundo factor, y queda:
f(x) = (2 + x)*(2 + x - 8x + 1), reduces términos semejantes y ordenas términos en el segundo factor, y queda:
f(x) = (2 + x)*(-7x + 3), ordenas términos en el primer factor, extraes factor común en el segundo, y queda:
f(x) = (x + 2)*(-7)*(x - 3/7), ordenas factores, y queda:
f(x) = -7*(x + 2)*(x - 3/7), que es la expresión factorizada de la función.
3a)
Tienes la inecuación:
f(x) > 0, sustituyes la expresión factorizada en el primer miembro, y queda
-7*(x + 2)*(x - 3/7) > 0, multiplicas en ambos miembros por -1/7 (observa que cambia la desigualdad), y queda:
(x + 2)*(x - 3/7) < 0, luego, tienes dos opciones:
1°)
x + 2 > 0 y x - 7/3 < 0, que conduce a: x > -2 y x < 7/3, que conduce al intervalo: Ia = (-2,7/3);
2°)
x + 2 < 0 y x - 7/3 > 0, que conduce a: x < -2 y x > 7/3, que conduce al intervalo vacío.
3b)
f(x) < 6, sustituyes la expresión desarrollada de la función, y queda:
-7x2 - 11x + 6 < 6, restas 6 en ambos miembros, y queda:
-7x2 - 11x < 0, multiplicas por -1 en todos los términos de la inecuación (observa que cambia la desigualdad), y queda:
7x2 + 11x > 0, extraes factor común, y queda:
7x*(x + 11/7) > 0, multiplicas por 1/7 en ambos miembros (observa que no cambia la desigualdad), y queda:
x*(x + 11/7) > 0, luego, tienes dos opciones:
1°)
x > 0 y x + 11/7 > 0, que conduce a: x > 0 y x > -11/7, que conduce al intervalo: Ib1 = (0,+∞);
2°)
x < 0 y x + 11/7 < 0, que conduce a: x < 0 y x < -11/7, que conduce al intervalo: Ib2 = (-∞,-11/7);
luego, tienes finalmente el intervalo: Ib = Ib1 ∪ Ib2 = (-∞,-11/7) ∪ (0,+∞).
Espero haberte ayudado.
Hola, no sé si será mi ordenador o un fallo, pero en el examen de conceptos básicos de probabilidad (2do Bachillerato) hay un ejercicio de 5 jugadores de baloncesto. Una de las opciones está en blanco y otra da la respuesta correcta. Pero a mi me sale que la respuesta correcta es errónea y la respuesta en blanco la correcta (esta no muestra ninguna solución). Os dejo una imagen para que se entienda mejor. Igual es mi ordenador que tiene un fallo... ¡gracias!![]()