El enlace que me has mandado es para calcularlo, pero yo me referia desde una grafica calcular la ecuacion porfavor
Necesito ayuda, no se que hacer sin el volumen
Se quiere construir una piscina en forma de paralelepípedo recto de base cuadrada. La superficie total a recubrir es de 192 metros cuadrados. Calcula las dimensiones de manera que su volumen sea máximo
muchas gracias
Buenas tardes,
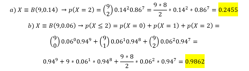
Una pregunta de estadística.
Un grupo de 9 actores se presenta a las pruebas para una película. La probabilidad de un actor cualquiera de ser escogido es del 14%. Me piden el resultado con seis cifras decimales.
1. Del grupo de 9 actores, cual es la probabilidad que 2 sean escogidos para la película.
2. La probabilidad de un actor cualquiera de ser escogido en su primera prueba es del 0,06. Cual es la probabilidad de que como mucho 2 actores sean escogidos en su primera prueba.
Muchas gracias y saludos,

¡Hola! Nos encantaría ayudarte, pero no solemos responder dudas universitarias que no tengan que ver específicamente con los vídeos que David Calle ha grabado como excepción. O de otras asignaturas que no sean Matemáticas, Física y Química. Lo sentimos de corazón… Esperamos que lo entiendas.
Ojalá algún unicoo universitario se anime a ayudarte (de hecho, lo ideal es que todos los universitarios intentarais ayudaros los unos a los otros).

Recuerda la expresión del diferencial de área de una región plana en coordenadas polares:
dA = r*dr*dθ..
Recuerda que r es la distancia entre un punto de la región plana y el eje de coordenadas, por lo que la expresión de la función densidad de masa queda:
δ(r,θ) = r.
Luego, tienes para los límites de integración correspondientes a la región (R):
0 ≤ r ≤ a*cosθ
0 ≤ θ ≤ π/2.
Luego, puedes plantear para la masa de la región plana:
MR = ∫∫R δ(r,θ)*r*dr*dθ = 0∫π/20∫a*cosθ r*r*dr*dθ = 0∫π/20∫a*cosθ r2 * dr*dθ;
luego integras para la variable r (observa que indicamos con corchetes que debes evaluar con Regla de Barrow), y queda:
MR = 0∫π/2 [ r3/3 ]*dθ = evalúas = 0∫π/2 (1/3)*a3*cos3θ*dθ;
luego, extraes los factores constantes, expresas al argumento como un producto, y queda:
MR = (1/3)*a3* 0∫π/2 cos2θ*cosθ*dθ = (1/3)*a3 * 0∫π/2 (1 - sen2θ)*cosθ*dθ;
luego, puedes aplicar la sustitución (cambio de variable):
w = senθ, de donde tiene: dw = cosθ*dθ,
y observa que los límites de integración de la nueva variable son 0 y 1;
luego, sustituyes, y la expresión de la masa de la región plana queda:
MR = (1/3)*a3 * 0∫1 (1 - w2)*dw;
luego integras para la variable w (observa que indicamos con corchetes que debes evaluar con Regla de Barrow), y queda:
MR = (1/3)*a3 * [ w - (1/3)*w3 ] = evalúas = (1/3)*a3 * (1 - 1/3) = (2/9)*a3.
Espero haberte ayudado.
Hola, ya intenté de todo para encontrar las raíces del ejercicio a) , intento ruffini para factorizar y veo que no es exacta, me queda un residuo, lo único que me falta es encontrar en donde corta al eje x para graficar, vi como quedaría la gráfica con geogebra y veo que los valores de x son decimales, me podrías ayudar solo a encontrar esos valores? Cuando crece, decrece lo entiendo, aplicó bien las derivadas , pero no me sale lo que te mencioné :(![]()
Aquí puedes ver el procedimiento: https://www.symbolab.com/solver/step-by-step/x%5E%7B4%7D-4x%5E%7B3%7D-1%3D0
Lo puedes solucionar con:
*Método de Newton-Raphson-Fourier:
https://www.youtube.com/watch?v=tX9ecFstUUk (si mandas tu ejercicio resuelto te lo corrijo, es muy pesado de teclear)
*El método numérico que te recomiende tu profesor o fíjate si en las páginas anteriores de tu libro aparece algún método como el de la bisección o similar.