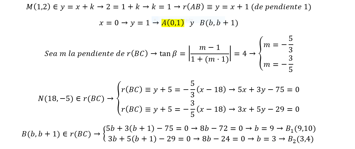
Buenas Unicoos, necesito ayuda con este ejercicio, entiendo que hacer, pero mis resultados no concuerdan con el descrito en la hoja :/ quisiera saber si estoy en un error, y explico el porqué de mi inquietud, hallar el vértice A no me supuso dificultad, pero en el segundo enunciado tengo entendido que la recta BC y AB debo intersectarlas para encontrar el punto en común que sería B, pero al hacerlo me da que el punto B es B(9,10) y decidí parar ahí y consultaros, quien pueda ayudarme y corregir mi error en caso de tenerlo, le estaría muy agradecido. :)
Halla la derivada de la inversa de la funcion f(x) = x^3 + x^(3/2) en el punto x=2
Ayuda por favor
f(x) = x^3 + x^(3/2)
y = x3 + x3/2
Despejamos x :
y = x3 + x3/2
y-x3 = x3/2
(y-x3)2 = (x3/2)2
y2+x6-2x3y = x3
y2+x6-2x3y- x3 = 0
x3(-2y-1)+x6+y2 = 0
Cambio de variable t=x3
t(-2y-1)+t2+y2 = 0
t2+(-2y-1)t+y2 = 0
Resolviendo con la fórmula resolvente de ecuaciones de 2º grado y tomando como a=1 , b= -2y-1 , c=y2
t1,2= (-(-2y-1)±√((-2y-1)2-4*1*y2))/2
.
.
Obtendrás dos soluciones t1 y t2
.
.
Deshaces el cambio de variable y tendrás que sacar las soluciones finales de ∛t1 y ∛t2
Por último tendrás que cambiar las x por y, así tendrás las inversas.
-----------------------------------------------------------------------------------------------------------------------------------------------
**Acaba la inversa tú, te la reviso y seguimos con la derivada de las inversas.
Es bastante largo este ejercicio y tienes que poner de tu parte.
Halla la ecuacion de la recta paralela a y = x - 2
que es tangente a la parabola y= 4(x)^2 - x + 3
Gracias

La recta y(x)=x-2 tiene pendiente m=1. Ahora derivamos la ecuación de la parábola: y'(x)=8x-1. Vemos para que valor de "x" se tiene una pendiente de 1:
8x-1=1→8x=2→x=1/4
Evaluamos la función de la parábola en ese punto: y(1/4)=4(1/4)²-(1/4)+3=3. Por tanto la ecuacion de la recta pedida es:
y-3=1(x-1/4)→y-3=x-1/4→y = x + 13/4
CONTINUIDAD
Tienes que hacer que los límites laterales coincidan en x=0, o lo que es lo mismo, g(0-)=h(0+)
g(x)=ex(x2+ax)
g(0-)=e0(02+a*0)=a*0= 0
h(x)=(bx2+c)/(x+1)
h(0+)=(bx2+c)/(x+1)=(b*02+c)/(0+1)=b*0+c= c
Por lo tanto es continua para c=0 y cualquier valor de a y b
DERIVABILIDAD
Al decirte que son derivables: tienes que igualar la derivadas laterales de x=0, o lo que es lo mismo, g´(0-)=h´(0+).
También sabes que la derivabilidad exige continuidad, por lo que el valor c=0 es el buscado para la solución y tenemos que tomarlo en cuenta a la hora de sustituir.
Así hallarás a y b:
g´(x)=ex(x2+ax)+ex(2x+a)
g´(0-)=e0(02+a*0)+e0(2*0+a) = 1*(0+0)+1*(0+a) = a
h´(x)=(bx2+c)/(x+1) = 2bx*(x+1)+(bx2+c)*1 = 2bx(x+1)+bx2+c
h´(0+)= 2b*0*(0+1)+b*02+c = 2b*0+b*0+0 = 0
Por lo tanto es derivable para:
a=c=0,
b=cualquier valor real .
**Con lo remarcado en negrita justificas a=c=0 y con lo subrayado que b=cualquier valor real.

Puedes evaluar los valores de la función que tienes en el último dato:
f(0) = b (observa que empleamos la expresión de la primera rama),
f(4) = 4*c + 1 (observa que empleamos la expresión de la segunda rama);
luego, a partir del último dato de tu enunciado, tienes la ecuación:
b = 4*c + 1 (1).
Luego, estudias la continuidad de la función en el valor de corte: x = 2:
1°)
f(2) = 2*c + 1 (observa que empleamos la expresión de la segunda rama);
2°)
Lím(x→2-) f(x) = Lím(x→2-) (x2 + a*x + b) = 2*a + b + 4 (observa que empleamos la expresión de la primera rama),
Lím(x→2+) f(x) = Lím(x→2+) (c*x + 1) = 2*c + 1 (observa que empleamos la expresión de la segunda rama),
luego, como los límites laterales deben coincidir para que exista el límite de la función en el valor de corte, puedes plantear la ecuación:
2*a + b + 4 = 2*c + 1, restas 2*c y restas 4 en ambos miembros de la ecuación, y queda:
2*a + b - 2*c = -3 (2);
3°)
el valor de la función y el límite deben ser iguales para que la función sea continua en el valor de corte.
Luego, estudias la derivabilidad de la función en el punto de corte: x = 2:
f-' (2) = 4 + a (observa que empleamos la expresión de la derivada de la primera rama, y que te dejo la tarea del planteo de la derivada por definición),
f+' (2) = c (observa que empleamos la expresión de la derivada de la segunda rama, y que te dejo la tarea del planteo de la derivada por definición);
luego, como las derivadas laterales deben coincidir para que la función sea derivable en el valor de corte, puedes plantear la ecuación:
c = 4 + a (3).
Luego, sustituyes la expresión señalada (3) en las ecuaciones señaladas (1) (2), y queda:
b = 4*a + 9 (4),
b - 8 = -3, aquí sumas 8 en ambos miembros, y queda: b = 5;
luego, reemplazas el valor remarcado en la ecuación señalada (4), y queda:
5 = 4*a + 9, aquí restas 9 en ambos miembros, y queda:
-4 = 4*a, aquí divides por 2 en ambos miembros, y queda: -1 = a;
luego, reemplazas el valor remarcado en la ecuación señalada (3), queda:
c = 4 + (-1), resuelves, y queda: c = 3.
Luego, la expresión de la función queda:
f(x) =
x2 - x + 5 si 0 ≤ x < 2,
3*x + 1 si 2 ≤ x ≤ 4;
y la expresión de la función derivada queda:
f ' (x) =
2*x - 1 si 0 <x < 2,
3 si x = 2,
3 si 2 < x < 4.
Luego, en lo que respecta a los intervalos, recuerda la definición de derivada de una función en un valor de su dominio:
f ' (a) = Lím(h→0) ( f(a+h) - f(a) ) / h,
y observa que no se trata de un límite lateral, razón por la cuál tienes que la función debe existir para valores menores y mayores que a, y de ahí tienes que la derivada se define en un intervalo abierto (observa que si te ubicas en un extremo de un intervalo cerrado, solo tienes que la función está definida en un solo lado).
Espero haberte ayudado.

Tienes la expresión de la función:
f(x) = 2*x3 + 12*x2 + a*x + b (*),
cuyas derivadas primera y segunda tienen las expresiones:
f ' (x) = 6*x2 + 24*x + a (1),
f ' ' (x) = 12*x + 24 (2).
Luego, plantea la condición de posible inflexión:
f ' ' (x) = 0, sustituyes la expresión señalada (2), y queda:
12*x + 24 = 0, resuelves la ecuación, y queda:
x = -2, que es la abscisa del punto de inflexión.
Luego, observa que tienes en la ecuación de la recta tangente que su pendiente es: mT = 2, por lo que puedes plantear para el punto de contacto entre la gráfica de la función y la recta tangente:
f ' (-2) = mT, reemplazas el valor de la pendiente en el segundo miembro, sustituyes la expresión evaluada de la función derivada en el primer miembro, y queda:
24 - 48 + a = 2, resuelves la ecuación, y queda:
a = 26.
Luego, evalúas la expresión de la recta tangente para la abscisa del punto de contacto, y queda:
y = 2*(-2) + 3, resuelves y queda:
y = -1, que es la ordenada del punto de contacto (que es un punto de inflexión en la gráfica de la función), que queda expresado: A(-2,-1).
Luego, como el punto A pertenece a la gráfica de la función, puedes plantear a partir de la expresión de la función señalada (*):
f(-2) = -1, sustituyes la expresión evaluada de la función, y queda:
2*(-2)3 + 12*(-2)2 + a*(-2) + b = -1, reemplazas el valor del coeficiente a, y queda:
2*(-2)3 + 12*(-2)2 + 26*(-2) + b = -1, resuelves términos numéricos en el primer miembro, y queda:
-30 + b = -1, sumas 30 en ambos miembros, y queda:
b = 29.
Luego, las expresiones de la función y de sus derivadas primera y segunda, quedan:
f(x) = 2*x3 + 12*x2 + 26*x + 29,
f ' (x) = 6*x2 + 24*x + 26,
f ' ' (x) = 12*x + 24.
Espero haberte ayudado.