Foro de preguntas y respuestas de Matemáticas

logo beUnicoos
Los foros de unicoos se han unificado en nuestra nueva plataforma beUnicoos. Para dejar nuevas preguntas deberás hacerlo allí, donde además podrás encontrar nuevas asignaturas y herramientas para ayudarte más con tus estudios.

  • icon

    Sergio Rodríguez Moreno
    el 7/4/18

    Me pueden ayudar con este ejercicio? La solución la tengo mal.

    replythumb_up0 voto/sflag
    icon

    Ángel
    el 7/4/18

    Mejor haz el conjugado...

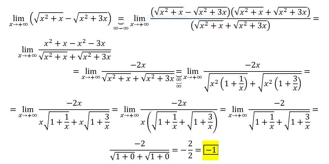
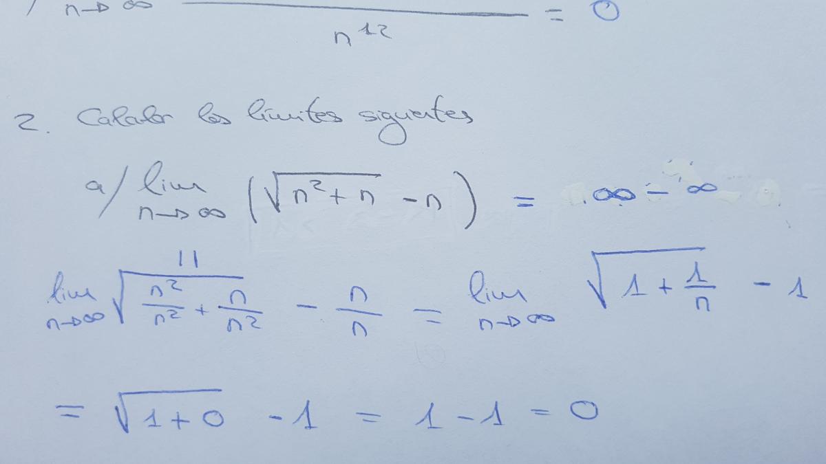
    lim(n∞) (√(n2+n) -n) =

    lim(n∞) ( (√(n2+n) -n) * (√(n2+n) +n) )  ÷  (√(n2+n) +n) =

    lim(n∞)  ((n2+n) -n2)  ÷  (√(n2+n) +n) =

    lim(n∞)  n  ÷  (√(n2+n) +n) =

    lim(n∞)  n/n  ÷  (√(n2+n) +n)/n =

    lim(n∞)  1  ÷  (√(n2/n+ n/n2) +n/n) =

    lim(n∞)  1  ÷  (√(1 + 1/n) +1) =

    1  ÷  (√(1 + 1/∞) +1) =

    1  ÷  (√(1 + 0) +1) =

    1  ÷  (√(1) +1) =

    1  ÷ (1+1) =

    1÷2

    thumb_up0 voto/sflag
  • icon

    Ángel
    el 7/4/18

    Buenas! Agradecería la verificación de estas respuestas:

    1) Sea la función:

    f(x,y)=

    (2x3-y3)/(x2-y2)  si  (x,y)≠(0,0)

                 0            si  (x,y)=(0,0)

    a) ¿cuáles son sus derivadas parciales en el origen?

    (∂f(0,0))/∂x = 

    lim(k→0) (f(k,0)-f(0,0))/k = 

    lim(k→0) (2k3/k2)/k =

    lim(k→0) 2k/k=

    lim(k→0)  2=

     2


    (∂f(0,0))/∂y =

    lim(k→0) (f(0,k)-f(0,0))/k = 

    lim(k→0) (-k3/k2)/k =

    lim(k→0) -k/k =

    lim(k→0) -1 =

     -1


    b) ¿qué podemos decir de su continuidad y derivabilidad en (0,0)?

    Es continua y derivable (aunque no diferenciable).

     ------------------ ------------------ ------------------ ------------------ ------------------ ------------------ ------------------ ------------------ ------------------ ------------------


    2) Sea X ⊂ ℛ2 el conjunto X={ (x,y)∈ℛ2 : x2-y2=0 }, entonces el complementario ℛ2\ X  es...¿abierto, cerrado o "ni abierto ni cerrado" ? 

    El conjunto X contiene todos los puntos de las rectas  x2=y2   ------->  y=√(x2)  ---->  y=-x , y=x contenidas en el plano ℛ2

    El interior de X es el vacío, y todo punto de X (de las lineas) lo es/son de su frontera, por lo que X es cerrado.

    Por lo tanto el complementario 2\ X  es ABIERTO.


    Un saludo a todos y gracias.


    replythumb_up0 voto/sflag
    icon

    Antonius Benedictus
    el 7/4/18

    Pienso que está perfecto, Ángel.

    thumb_up1 voto/sflag
  • icon

    Leire
    el 7/4/18

    Hola, necesito ayuda con este ejercicio. ¡Muchas gracias!


    replythumb_up0 voto/sflag
    icon

    Ángel
    el 7/4/18

    catetoOpuesto=87

    sen37º=catetoOpuesto/hipotenusa   ------>  sen37º=87/hipotenusa  ----->   hipotenusa= 87*sen37º   ------>  Hipotenusa=144.56 metros.

    tg37º=catetoOpuesto/catetoContiguo    ------>  catetoContiguo= catetoOpuesto/tg37º   ------->  catetoContiguo= 87/(tg37º)   --------->   catetoContiguo=115.45 metros.

    thumb_up1 voto/sflag
  • icon

    Leire
    el 7/4/18

    Si la tangente es 1, ¿como hallo el coseno y el seno mediante un sistema de ecuaciones?

    Gracias


    replythumb_up0 voto/sflag
    icon

    Ángel
    el 7/4/18

    tg(x)=sen(x)/cos(x)

    tg(x)=1

    1=sen(x)/cos(x)

    cos(x)=sen(x)

    Sabes por tus apuntes de clase y por las gráficas seno y coseno que el cos(x) y el sen(x) son iguales cuando x=45º+180º*n = π/4 + π*n

    thumb_up1 voto/sflag
  • icon

    Lemez Love
    el 7/4/18

    Buenas alguien me podría decir si hasta ahí esta bien hecho el ejercicio?? por favor.


    replythumb_up0 voto/sflag
    icon

    Antonius Benedictus
    el 7/4/18

    El 3x del numerador queda con signo (-).

    thumb_up1 voto/sflag
    icon

    Lemez Love
    el 7/4/18

    muchas gracias, la ultima duda que tengo sobre el ejercicio es: como resolver √1 - ∞/∝ .

     indeterminación, ya que la otra raiz me da 0



    thumb_up0 voto/sflag
    icon

    Antonius Benedictus
    el 7/4/18


    thumb_up1 voto/sflag
  • icon

    Lsslie
    el 7/4/18

    Buenas, me ayudan con este ejercicio porfavor, gracias !!


    replythumb_up0 voto/sflag
    icon

    Ángel
    el 7/4/18

    Estudiamos la continuidad y derivabilidad:

    Para que sea continua:

    lim(x→0-) a+exlim(x→0+) x2+bx   --------------->    a+e0=02+b*0  ----->  a+1=0   ----->   a= -1

    Para que sea derivable:

    f´(x)=

    ex si x<0

    2x+b si x>0

    lim(x→0-) exlim(x→0+) 2x+b   --------------->   e0=2*0+b  ----->  1=0+b   ----->   b=1


    thumb_up0 voto/sflag
    icon

    Ángel
    el 10/4/18

    Con estos resultados obtenidos llegamos a las respuestas:

    a) Para que se cumpla la continuidad los valores tienen que ser a= -1 y cualquier valor de b

    b) Por lo tanto es derivable si a= -1  y b=1

    thumb_up0 voto/sflag
    icon

    Lsslie
    el 10/4/18

    Gracias !!! y como hago la derivabilidad pero con la función con la definición de derivada ??? 

    thumb_up0 voto/sflag
  • icon

    Anna Cantador
    el 7/4/18

    Hola!! URGENTE PLEASEEEE

    Tengo una duda en cuanto al espacio muestral de un experimento aleatorio en probabilidad...

    1. Si lanzo una moneda dos veces, el espacio muestral es: E={CC, CX, XC, XX}
    2. Sin embargo, si lanzo dos monedas a la vez es: E={CC, XC, XX}

    No entiendo por qué en el caso de lanzar dos monedas a la vez no se cuenta el suceso de CX...

    Graciiias de antemano!

    replythumb_up0 voto/sflag
    icon

    Antonius Benedictus
    el 7/4/18

    Para que se tengan casos equiprobables, el segundo espacio muestral ha de ser, en efecto, el mismo que el primero.

    thumb_up0 voto/sflag
  • icon

    Carlos
    el 7/4/18

    Hola buenos días Unicoos. ¿Alguien me puede ayudar a resolver esta integral trigonométrica? Muchísimas gracias






    replythumb_up0 voto/sflag
    icon

    Antonius Benedictus
    el 7/4/18


    thumb_up0 voto/sflag
  • icon

    Alfonso Sampedro
    el 7/4/18

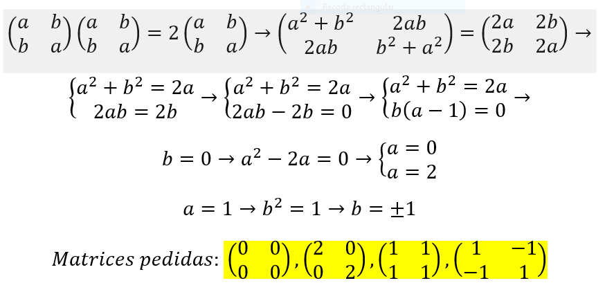
    Hola buenas, el apartado b para sacar las matrices que cumplan esa igualdad se me atasca. Si alguien me ayuda se lo agradecería. Un saludo 

    replythumb_up0 voto/sflag
    icon

    Antonius Benedictus
    el 7/4/18


    thumb_up1 voto/sflag
  • icon

    Alfonso Sampedro
    el 7/4/18

    Hola alguien me ayuda a sacar la Inversa de A? Es que la traspuesta de este ejercicio si me sale, pero no se obtener la inversa con ese parámetro a b c. Gracias 

    replythumb_up0 voto/sflag
    icon

    Antonius Benedictus
    el 7/4/18


    thumb_up1 voto/sflag