Foro de preguntas y respuestas de Matemáticas

logo beUnicoos
Los foros de unicoos se han unificado en nuestra nueva plataforma beUnicoos. Para dejar nuevas preguntas deberás hacerlo allí, donde además podrás encontrar nuevas asignaturas y herramientas para ayudarte más con tus estudios.

  • icon

    DAVID CALO BARRERA
    el 6/4/18

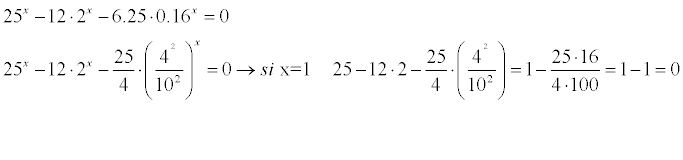
     ¿podéis resolverlo???

    replythumb_up0 voto/sflag
    icon

    César
    el 6/4/18




    thumb_up1 voto/sflag
  • icon

    Joship
    el 6/4/18

    hola no he podido resolver este ejercicio si me pueden ayudar seria genial !!

    replythumb_up0 voto/sflag
    icon

    César
    el 6/4/18

    Hecho a puro ojo



    thumb_up0 voto/sflag
    icon

    Joship
    el 6/4/18

    esta bien, sin embargo la idea es poder llegar a que x=1 con desarrollo. 


    thumb_up0 voto/sflag
    icon

    Aleking
    el 7/4/18


    thumb_up1 voto/sflag
  • icon

    Sonia Ramis García
    el 6/4/18

    tampoco entiendo bien este ejercicio. a qué base se refiere el ejercicio, a la base canónica? 

    replythumb_up0 voto/sflag
    icon

    Rasyer
    el 6/4/18

    Este subespacio está definido por todos los vectores 'V' que cumplan la siguiente condición:

    Existen dos reales a, b, tal que V = (a, a+b, -a).

    Esto viene a ser la base formada por estas dos ecuaciones:         x = -z        ,     y = x + z

    El vector (2, 0, 2) no forma parte de la base, por lo tanto no se pueden determinar sus coordenadas en dicha base. Esto se debe a que no cumple las ecuaciones.

    thumb_up1 voto/sflag
  • icon

    Sumi
    el 6/4/18

    Buenas, me podria alguien corregir este erjecicio por favor? Muchasgracias 

    replythumb_up0 voto/sflag
    icon

    Antonius Benedictus
    el 7/4/18


    thumb_up1 voto/sflag
  • icon

    Sonia Ramis García
    el 6/4/18

    En este ejercicio el resultado es Vector (1,0,1) ???

    replythumb_up0 voto/sflag
    icon

    Rasyer
    el 6/4/18

    Efectivamente, este vector cumple la ecuación

    thumb_up1 voto/sflag
  • icon

    Sumi
    el 6/4/18

    Buenas! Podria alguien ayudarme con esto? Creo que a no me da bien. Muchas graciad ☺☺☺

    replythumb_up0 voto/sflag
    icon

    César
    el 6/4/18


    thumb_up1 voto/sflag
  • icon

    Sumi
    el 6/4/18

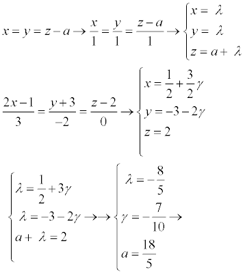
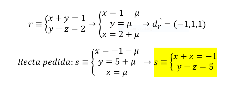
    Buenass! Tenia una duda en este erjrcico, ya que no se como resolver la parte de "corta a las rrctas" o sea que informacion me puede dar eso? (Es el 44)

    Muchad gracias! :)


    replythumb_up0 voto/sflag
    icon

    César
    el 6/4/18

    https://www.youtube.com/watch?v=5bvA9Q8yTPE

    Para que compuebes te dejo la solución

    (0,-1,2)+λ(1,2,-1)


    thumb_up1 voto/sflag
  • icon

    Marta Santos González
    el 6/4/18

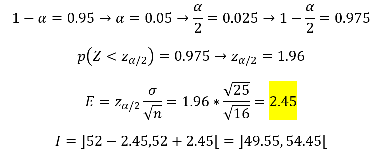
    De una variable que se distribuye según una ley normal de varianza 25 y media desconocida, conocemos la media de una muestra de 16 elementos que es 52. Para un nivel de confianza del 95 % determina, A. El error máximo de la estimación.

    replythumb_up0 voto/sflag
    icon

    Antonius Benedictus
    el 7/4/18


    thumb_up0 voto/sflag
  • icon

    Marta Santos González
    el 6/4/18

    En la distribución normal , cuando se cambia la X por la Z . Solo a la hora de tipificar ? 

    replythumb_up0 voto/sflag
    icon

    Antonius Benedictus
    el 6/4/18

    Sí, para tipificar y poder usar los valores tabulados.

    thumb_up1 voto/sflag
  • icon

    Silvana
    el 6/4/18

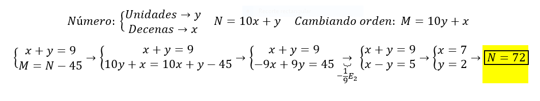
    Holaa!!!

    Necesito ayuda para resolver este problema. Por favor. " pensé en un número de dos cifras. La suma de  esas cifras es 9. Cambiando el orden de esas cifras se obtiene un número 45 unidades menores que el primero. ¿En que numero pensé?... 

    replythumb_up0 voto/sflag
    icon

    Antonius Benedictus
    el 6/4/18


    thumb_up0 voto/sflag