Hola,estoy estudiando para un examen muy importante y tengo problemas al hacer este tipo de integrales me podrían ayudar.Gracias

¡Hola! Nos encantaría ayudarte, pero no solemos responder dudas universitarias que no tengan que ver específicamente con los vídeos que David Calle ha grabado como excepción. O de otras asignaturas que no sean Matemáticas, Física y Química. Lo sentimos de corazón… Esperamos que lo entiendas.
Ojalá algún unicoo universitario se anime a ayudarte (de hecho, lo ideal es que todos los universitarios intentarais ayudaros los unos a los otros).
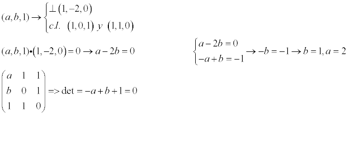
La tercera componente de un vector (v) del espacio es 1. Determina las dos otra componentes sabiendo que (v) es perpendicular con el vector (1,-2,0) y que, a más, es combinación lienal de los vectores (1,0,1) y (1,1,0).

Puedes plantear la expresión del vector buscado: v = <x,y,1>, en la que x e y son números reales a determinar.
Luego, plantea la condición de perpendicularidad entre el vector <1,-2,0> y el vector v:
<1,-2,0> • <x,y,1> = 0, desarrollas el producto escalar en el primer miembro de la ecuación, y queda:
1*x - 2*y + 0*1 = 0, resuelves coeficientes, cancelas el término nulo, y queda:
x - 2*y = 0, sumas 2*y en ambos miembros, y queda:
x = 2*y (1).
Luego, plantea la combinación lineal:
a*<1,0,1> + b*<1,1,0> = <x,y,1>, resuelves los productos en los términos del primer miembro, y queda:
<a,0,a> + <b,b,0> = <x,y,1>, resuelves la suma vectorial en el primer miembro, y queda:
< a+b , b , a > = < x , y , 1 >;
luego, por igualdad entre vecrtores, igualas componente a componente, y queda el sistema de ecuaciones:
a + b = x (2),
b = y (3),
a = 1 (4);
luego, reemplazas el valor remarcado y señalado (4) y la expresión señalada (3) en las ecuaciones señaladas (1) (2), observa que solo debes reemplazar en la segunda ecuación, y el sistema queda:
x = 2*y,
1 + y = x;
luego, sustituyes la expresión de la segunda ecuación en la primera, y queda:
1 + y = 2*y, restas y en ambos miembros, y queda:
1 = y;
luego, sustituyes este último valor remarcado en las ecuaciones señaladas (1) (3), y queda:
x = 2,
b = 1.
Luego, puedes concluir que la expresión del vector buscado es:
v = <2,1,1>;
y que la ecuación que expresa la combinación lineal es:
1*<1,0,1> + 1*<1,1,0> = <2,1,1>, resuelves los productos en los términos del primer miembro, y qeuda:
<1,0,1> + <1,1,0> = <2,1,1>.
Espero haberte ayudado.
Buenas! tengo un ejercicio de probabilidad. Necesito calcular A y B pero necesito ayuda para calcular B.
Tengo que A∩B=1/6 y que A/B=1/3
1/3=(1/6):B. esta sería la fórmula pero no entiendo por qué en el ejerciico resuelto manda a B a la izquiera y la condicion a la derecha siendo dividido por la interseccion. Yo plantee que la intersección fuera a la izquierda multiplicando puesto que esta dividiendo en la derecha. Gracias!

Recuerda la definición de probabilidad condicional:
p(A|B) = p(A∩B) / p(B),
multiplicas en ambos miembros por p(B), y queda:
p(A|B) * p(B) = p(A∩B),
divides por p(A|B) en ambos miembros, y queda:
p(B) = p(A∩B) / p(A|B),
reemplazas los datos de tu enunciado en el segundo miembro, y queda:
p(B) = (1/6) / (1/3),
resuelves la división entre números fraccionarios en el segundo miembro, y queda:
p(B) = 1/2.
Espero haberte ayudado.
Holaaa me podrían ayudar con estos ejercicios por favor. No se hacer los límites me sería de muchas ayudar que ayudaran
En una caja hay 4 bolas blancas, 3 bolas rojas y 2 bolas azules. Se sacan 2 bolas al azar. Calcula la probabilidad de que:
Al menos una sea blanca.
No sé si lo he resuelto bien, me podríais ayudar? Muchas gracias.
Hola, lo puedes plantear de las siguientes formas:
Pr (Alguna bola blanca) = 1 - Pr (Ninguna bola blanca)
Por lo tanto la probabilidad que ninguna bola sea blanca es 5/9 * 4/8 = 5/18.
De este modo Pr (Alguna bola blanca) = 1 - 5/18 = 13/18
o también:
En la 1a extracción:
Para finalizar simplemente hay que sumar las dos probabilidades.
Probabilidad que saquemos almenos una bola blanca = 4/9 + 5/18 = 13/18
¿Por favor alguien lo puede ersolver por combinatoria? Me ha entrado la curiosidad
Saludos profesores :)
Hoy un familiar me ha planteado un problema, y me temo que me veo incapaz de resolverlo (me mareo mucho con los porcentajes). Quizá alguno de ustedes pueda ilustrarme. De antemano, muchas gracias.
-
Imaginemos que un tesorero tiene 1 lingote de 1 Kg de oro, de 500 cm3 de volumen, con el que puede hacer 100 monedas de oro.
El tesorero quiere poder sacar más monedas, pero sólo dispone de ese lingote de oro; así que se dispone a emplear otro metal para alearlo con el oro y poder aumentar la cantidad de monedas producidas. Debe hacerlo sin que se note mucho la pérdida del valor real de las monedas, por lo que las nuevas monedas producidas tendrán 75% de oro y 25% del otro metal.
Si este otro metal tiene la misma densidad y peso que el oro...
- ¿Cuántas monedas podrá sacar en total, respetando la relación 75% oro + 25% de ese otro metal?
- ¿Cuál será la cantidad necesaria a emplear de ese otro metal? (peso y volumen)
Muchas gracias.
Como se reducen estos ángulos a un solo giro??
1050 grados
-3660 grados
13π/4
-9π/3
Hola Lucia, como seguro que sabes 360º es una vuelta. Por lo tanto girar 360º es como girar 0º o como girar 720º, porque siempre terminas en el mismo sitio. Por lo tanto, para reducir ángulos, simplemente hay que dividir el ángulo dado entre 360º y quedarse con el residuo. ¿Por qué? Porque el cociente nos indica el número de vueltas, y el residuo nos indica cuanto ha avanzado. Date cuenta que el residuo es siempre menor que 360º.
Por lo tanto:
1050º = 360*2 + 330 = 330º
-3660 = 360*-11 + 300 = 300º este también se puede hacer así: -3660 = 360*-10 - 60 = -60º = 300º
Con los radianes es lo mismo pero la vuelta son 2π. Por lo tanto:
13π/4 = 2π*1 + 5π = 5π
-9π/3 = -3π = 2π*-1 - π = π