
Tienes la expresión de la función:
f(x) = (a*x2 + b)/x = distribuyes y simplificas = a*x + b/x (1).
Luego, planteas la expresión de la función derivada primera, y queda:
f ' (x) = a - b/x2 (2).
Luego, tienes la ecuación cartesiana explícita de la recta tangente:
y = -2, cuya pendiente es: m = 0 (3).
Luego, plantea la condición de tangencia:
f ' (x) = m, sustituyes las expresiones señaladas (2) (3), y queda:
a - b/x2 = 0, sumas b/x2 en ambos miembros, y queda:
a = b/x2, multiplicas por x2 en ambos miembros, y queda:
a*x2 = b, reemplazas el valor de la abscisa del punto de tangencia que tienes en tu enunciado (x = 1), y queda:
a = b (4).
Luego, como el punto de tangencia pertenece a la gráfica de la función, puedes plantear para su ordenada (que es igual a -2 porque también pertenece a la recta tangente):
f(x) = -2, sustituyes la expresión señalada (1) en el primer miembro, y queda:
a*x + b/x = -2, reemplazas el valor de la abscisa del punto de tangencia que tienes en tu enunciado (x = 1), y queda:
a + b = -2 (5).
Luego, sustituyes la expresión señalada (4) en la ecuación señalada (5), y queda:
2*b = -2, divides por 2 en ambos miembros, y queda: b = -1;
luego, reemplazas el valor remarcado en la ecuación señalada (4), y queda: a = -1.
Luego, reemplazas los valores remarcados en las expresiones señaladas (1) (2), y quedan:
f(x) = -x - 1/x (observa que el punto A(1,-2) pertenece a la gráfica de la función),
f ' (x) = -1 + 1/x2 (observa que la función derivada toma el valor cero para x igual a 1).
Espero haberte ayudado.
a)
Te dicen en tu enunciado que es derivable, entonces tiene que ser continua.
CONTINUIDAD
La subfunción que define el trozo [0,2) es una parábola, que por definición es continua
La subfunción que define el trozo (2,5) es continua y está definida (no nos afecta para nada que no lo esté en x∈(-inf,1)
Solo nos queda extraer la condición de continuidad para x=2:
lim(x→2-) ax+bx2= lim(x→2+) -4+√(x-1) -----------> 2a+4b= -4+1 --------> 2a+4b= -3
DERIVABILIDAD
La derivada está correcta.
Siguiendo la misma idea que para la continuidad obtendríamos que se tiene que cumplir que para la derivabilidad que
lim(x→2-) a+2bx= lim(x→2+) 1/(2√(x-1)) -----------> a+4b= 1/2
Entonces, para que se cumpla la derivabilidad se tienen que cumplir ambas ecuaciones; por lo tanto solo queda resolver el sistema de ecuaciones
2a+4b= -3
a+4b= 1/2
restando ambas ecuaciones nos queda que
a= -7/2
b= 1

Observa el Diagrama de Venn, en él hemos señalado con C al conjunto de alumnos que estudian Cálculo, con P a los que estudian Psicología, y con M a los que estudian computación.
Observa que hemos señalado con verde a la intersección de los tres conjuntos, que tiene 8 elementos como indica tu enunciado:
|C∩P∩M| = 8.
Luego, por diferencias, hemos calculado las cantidades:
- de estudiantes de Cálculo y Computación solamente: |C∩M| - |C∩P∩M| = 33 - 8 = 25;
- de estudiantes de Cálculo y Psicología solamente: |C∩P| - |C∩P∩M| = 20 - 8 = 12;
- de estudiantes de Psicología y Computación solamente: |P∩M| - |C∩P∩M| = 24 - 8 = 16.
Luego, por diferencias, hemos calculado las cantidades:
- de estudiantes de Cálculo solamente: 79 - (8 + 12 + 25) = 79 - 45 = 34;
- de estudiantes de Psicología solamente: 83 - (8 + 12 + 16) = 83 - 36 = 47;
- de estudiantes de Computación solamente: 63 - (8 + 25 +16) = 63 - 49 = 14.
Luego, por diferencias, hemos calculado la cantidad:
- de estudiantes que no cursan estas tres asignaturas; 165 - (8 + 25 + 12 + 16 + 34 + 47 + 14) = 165 - 156 = 9.
Espero haberte ayudado.
Hola.
La pregunta está en la imagen. Siento preguntarlo otra vez, pero lo que quiero saber es por qué aplicando la definición del área en polares, no sale el mismo resultado. Querría saber en qué me he equivocado, planteamiento, cálculo, etc, para saber en ejercicios posteriores, qué tengo que evitar hacer.
Muchas gracias.
Un saludo.

¡Hola! Nos encantaría ayudarte, pero no solemos responder dudas universitarias que no tengan que ver específicamente con los vídeos que David Calle ha grabado como excepción. O de otras asignaturas que no sean Matemáticas, Física y Química. Lo sentimos de corazón… Esperamos que lo entiendas.
Ojalá algún unicoo universitario se anime a ayudarte (de hecho, lo ideal es que todos los universitarios intentarais ayudaros los unos a los otros).

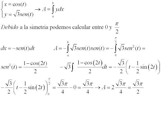
Observa que has planteado erróneamente la expresión de la función a integrar, para calcular el área del semidisco elíptico superor.
Vamos con el planteo directo para resolver con coordenadas polares.
Tienes la ecuación cartesiana canónica de la elipse:
x2 + y2/3 = 1.
Luego, puedes plantear el cambio a coordenadas polares (x = ρ*cosθ, y = Ρ*senθ):
ρ2*cos2θ + (1/3)*ρ2*sen2θ = 1;
multiplicas por 3 en todos los términos de la ecuación, y queda:
3*ρ2*cos2θ + ρ2*sen2θ = 3;
extraes factor común en el primer miembro, y queda:
ρ2*(3*cos2θ + sen2θ) = 3;
haces pasaje de factor como divisor, y queda:
ρ2 = 3/(3*cos2θ + sen2θ), con 0 ≤ θ ≤ π.
Observa que para integrar esta función se complica demasiado (es más, se trata de una integral elíptica, cuya resolución es con métodos numéricos).
Espero haberte ayudado a aclarar tu duda.
Hola buenos días! Alguien me puede ayudar a encontrar la dependencia de estos vectores? No se cómo encontrarla. Es el ejercicio 7.
(a)
Relación de dependencia: a= -b/2 + 3/2*c
(1,0,-2) = -(-5,6,1)/2 + 3*(-1,2,-1)/2
(1,0,-2) = (5,-6,-1)/2 + (-3,6,-3)/2
(1,0,-2) = (5/2,-6/2,-1/2) + (-3/2,6/2,-3/2)
(1,0,-2) = (5/2 - 3/2, -6/2 + 6/2, -1/2 -3/2)
(1,0,-2) = (2/2,0, -4/2)
(1,0,-2) = (1,0,-2)
(b)
Relación de dependencia: c = -√2*b
(√2,-√2,√2) = -√2*(-1,1,-1)
(√2,-√2,√2) = (√2,-√2,√2)
(c)
No se puede obtener como resultado ningún vector combinando vectores (ni sus proporcionales). Son independientes.
Hola.
En el ejercicio de la imagen me piden calcular el área de la semi elipse mostrada. ¿Por qué el planteamiento de lo que hay en la imagen está mal?
Muchas gracias.
Saludos.