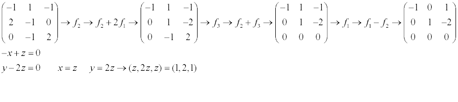
Hola. Os enseño el vector de delta=1, me ha salido vector (1, 1/2, 1). Pero en este enlace https://matrixcalc.org/es/#diagonalize%28%7B%7B3,-1,0%7D,%7B-1,2,-1%7D,%7B0,-1,3%7D%7D%29 da el vector 1, 2, 1. ¿Podéis decirme cual es mi error? Creo que mi Gauss está bien y el sistema también.![]()

Hola Sebastián
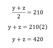
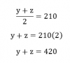
Tomando en cuenta sólo a las tres personas que subieron al colectivo la resolución sería la siguiente:
La suma de las masas de las tres personas se calcularía de la siguiente manera:
Cuando la primera persona se baja, la suma total de las masas quedaría así:
Para calcular la masa de la primera persona sólo se reemplazaría el resultado anterior en la ecuación que se formó al principio.
Por otro lado, si se toma en cuenta al conductor del vehículo los datos serían:
La resolución sería muy similar a la anterior.
Espero que te resulte útil.
Saludos

Por favor, consulta con tus docentes por el enunciado del problema (observa que si la masa promedio de las personas que están en el colectivo es 325 Kg, éste es un valor demasiado grande para corresponder a la masa de un ser humano común, ya que debes considerar que todas las personas tienen esa masa, o que algunas tienen sus masas con valores menores y otras mayores, por lo que es muy probable que haya errata en el enunciado del problema).
------------ Sucesiones ------------
Escriba el termino n-ésimo de la siguiente sucesión.
1,1/4,1/8,1/16,...
La formula que se deduce es 1/(n^2).
Pregunta: Se puede obtener esa formula de alguna forma que no sea por deducción?
Es decir, no es geométrica, ni aritmética, por lo que no puedo usar las formulas tradicionales.
AYUDA CON ESTE PROBLEMA PORFAVOR!!
un artesano elabora moldes para hacer figuras de metal. En cada diseño tiene que hacer el modelo, 2 moldes y 10 figuras como minimo que son para exposicion en tiendas y no se van a vender. ¿Cuantas figuras tiene que fabricar para que el coste total de cada una de las que vende no supere los 35 euros? coste modelo: 200euros coste molde:75euros cada uno coste fabricacion figura: 30 euros cada una