Foro de preguntas y respuestas de Matemáticas

logo beUnicoos
Los foros de unicoos se han unificado en nuestra nueva plataforma beUnicoos. Para dejar nuevas preguntas deberás hacerlo allí, donde además podrás encontrar nuevas asignaturas y herramientas para ayudarte más con tus estudios.

  • icon

    Estel
    el 2/4/18

    Buenas, tengo aún los deberes de matemáticas por acabar pero me he quedado encallda en unos ejercicios, ¿alguien me puede ayudar porfavor? Gracias!!!

    1. Sabiendo que log  2 = 0,30 , calcula:

    a) log ∛0,02 ; (este lo he hecho pero no creo que lo haya resuelto correctamente);

    b) log ( 1/ ∛16) ;


    2. El producto de tres términos consecutivos de una progresión aritmética es 1155 y la suma del primero y el último da 22, calcula los tres términos;

    3. En un triángulo ABC sabemos que A=(2,5), el punto medio del lado que pasa por B y C es M=(3,1) y el punto medio del lado que pasa por A y B es N(0,4). Calcula l'ecuación de la altura correspondiente al vértice A.

    finalmente, 

    4. Calcula la circumferencia que pasa por los puntos P=(-3,-2) Q=(4,5) y R=(-2,5);

    esta semana he estado a tope de deberes y casi no he podido aprovechar la fiesta y pues mates lo dejé para el final cosa que no debería haber hecho. ¿Me podríais ayudar? Muchíssimas graciasss!!!! 

    replythumb_up0 voto/sflag
    icon

    César
    el 2/4/18


    thumb_up1 voto/sflag
    icon

    Estel
    el 2/4/18

    muchíssimas graciasss!!!!!

    thumb_up0 voto/sflag
  • icon

    Carlos
    el 2/4/18

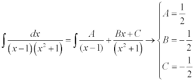
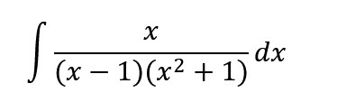
    Hola, tengo también problemas con esta integral porque se me anulan tanto A, B y C y no se continuar. Muchas gracias



    replythumb_up1 voto/sflag
    icon

    César
    el 2/4/18

    Habrás planteado mal las fraccones parciales


    thumb_up0 voto/sflag
  • icon

    Francisco
    el 2/4/18

    hola buenas tardes haber si me podríais ayudar con esta actividad:

    para realizar el control de calidad en la fabricación de protectores de pantallas de dispositivos móviles se utiliza el intervalo de confianza de 99% de grosor de los mismos. se sabe que la distribución del grosor es una normal con una desviación típica de 0.1 mm. una empresa quiere crear su intervalo de confianza y muestra diez protectores con los siguientes grosores en mm. 0.50,0.43,0.37,0,27,0.60,0.32,0.31,0.27,0.40,0.36.


    -Calcular el intervalo de confianza al 99% del grosor medio de los protectores.

    -para qué el intervalo de confianza se útil, su longitud debe de ser de 0,1.¿cuántos protectores necesita muestrear la empresa para obtener esa precisión?.


    Gracias de antemano, un saludo.

    replythumb_up0 voto/sflag
    icon

    Antonius Benedictus
    el 2/4/18


    thumb_up1 voto/sflag
  • icon

    Bet
    el 2/4/18

    Demostrar que no existe un número racional m/n tal que (m/n)2 = 2

    Ayuda porfavor


    replythumb_up0 voto/sflag
    icon

    Ángel
    el 2/4/18

    (m/n)2 = 2    ---------->   ((m/n)2) = 2   ------------->  2 = m/n    --------->  2 = p/q  -------------->  https://www.gaussianos.com/dos-demostraciones-de-la-irracionalidad-de-raiz-de-2/

    thumb_up1 voto/sflag
  • icon

    Paula Sánchez
    el 2/4/18

  • icon

    Sergio Betancor Sánchez
    el 2/4/18

    Hola soy Nuevo en el foro! Mi nombre es Sergio Betancor y espero poder resolver y me resolváis mis dudas en este foro.

    El ejercicio es el siguiente haber si podéis resolverlo.

    En el mes de septiembre, cierta presa (embalse) de la isla de Gran Canaria se encontraba a los 9/20 de su capacidad. En octubre, no llovió y se gastó 1/6 del agua que contenía en septiembre. En noviembre se recuperó 2/5 de la capacidad total de la presa. Finalmente, en el mes de diciembre se recuperaron 4.000.000 m3, con lo que quedó llena en sus nueve décimas partes (9/10). ¿Cuál es su capacidad en m3? ¿Qué fracciones de la presa se encontraban ocupadas en octubre, noviembre y diciembre?

    Para obtener la representación gráfica, debes conseguir fracciones de ocupación de la presa en septiembre, octubre, noviembre y diciembre, con el mismo denominador.

    replythumb_up0 voto/sflag
    icon

    César
    el 2/4/18


    thumb_up3 voto/sflag
  • icon

    GEMA ORTIZ DÍAZ
    el 2/4/18

    Como se deriva?

    replythumb_up0 voto/sflag
    icon

    Ángel
    el 2/4/18

    f(x)= log2(2x2+14)    = (ln(2x2+14))/(ln2)     = 1/(ln2)*(ln(2x2+14))


    f´(x)=

    1/(ln2)*  (ln(2x2+14))´   

    = 1/(ln2)*  (1/(2x2+14))*  (2x2+14)´

    = 1/(ln2)*  (1/(2x2+14))*  (4x)

    = 4x/(ln2(2x2+14))    

    = (2*2x)/(ln2(x2+7)*2)

    = 2x/(ln2(x2+7))

    thumb_up0 voto/sflag
    icon

    Ángel
    el 2/4/18

    En negrita tienes las propiedades que tendrás en los apuntes de clase, tu libro y algunas muy básicas:


    f(x)= log2(2x2+14)   --------logca=(lna)/lnc-------->    (ln(2x2+14))/(ln2)  --------a/b=(1/b)*a-------->    1/(ln2)*(ln(2x2+14))


    f´(x)=

    1/(ln2)*  (ln(2x2+14))´   (recuerda que (a*f)´=a*f´

    = 1/(ln2)*  (1/(2x2+14))*  (2x2+14)´     (recuerda que (lnf)´ = (1/f)*f´

    = 1/(ln2)*  (1/(2x2+14))*  (4x)     (la derivada de 2x2+14 = 4x+0= 4x)

    = 4x/(ln2(2x2+14))    

    = (2*2x)/(ln2(x2+7)*2)       (hemos sacado factor común 2)

    = 2x/(ln2(x2+7))      (hemos simplificado el factor común)

    thumb_up0 voto/sflag
  • icon

    Sara Bach Fou
    el 2/4/18

    Buenas tardes!

    Me gustaría saber si pueden ayudarme con este ejercicio de límites, ¿Cómo se resolvería?

    Mil gracias de antemano, un saludo!

    replythumb_up0 voto/sflag
    icon

    Ángel
    el 2/4/18

    Para que sea continua se tiene que cumplir que:

    lim(x→1-) ax2 -1 =     lim(x→1+) (2+x3)/(ax-3) =     f(1)    

    Sustituyendo la x por 1 queda que se debe verificar que:

    a*12 -1 = (2+13)/(a*1-3)   --------------->   a-1 = 3/(a-3)   ------>   (a-3)*(a-1) = 3   ---------> a2-a-3a+3= 3  ----->  a2-4a=0  ------>   a*(a-4)=0   ----->  a=0  ,  y también a=4 


    Como en el enunciado se indica que el valor de a ha de ser mayor que cero, entonces a=0 lo descartamos y queda como solución a=4 para que f(x) sea continua en todo su dominio.

    thumb_up2 voto/sflag
  • icon

    Dani Martinez
    el 2/4/18

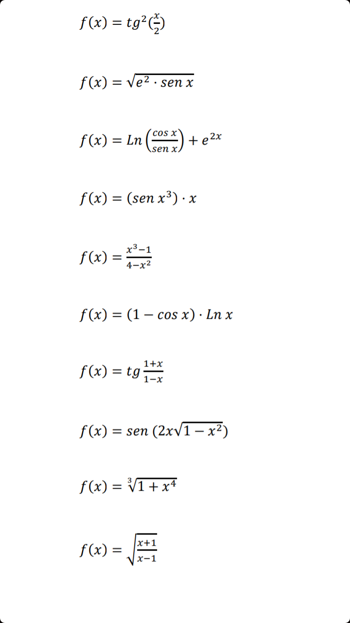
    Hola, soy nuevo en el foro. Me presento soy Daniel y necesito ayuda para saber las soluciones del siguiente ejercicio para saber si tengo bien las derivadas ya que estamos de vacaciones y no hay profesores jeje. Un saludo y gracias a quien me ayude ;) 

    replythumb_up0 voto/sflag
    icon

    Rasyer
    el 2/4/18

    Si quieres saber si las tienes bien introdúcelas en cualquier calculadora online de derivadas como por ejemplo esta:

    https://es.symbolab.com/solver/derivative-calculator

    Si tienes dudas en una derivada concreta las puedes poner, pero no pongas toda la lista de problemas :)

    thumb_up1 voto/sflag
  • icon

    Diego Mauricio Heredia
    el 2/4/18

    Ayuda por favor con el ejercicio número 4. 


    replythumb_up0 voto/sflag
    icon

    Rasyer
    el 2/4/18

    Para encontrar un vector ortogonal a estos dos vectores basta con hacer el producto vectorial de estos dos.

    (1, 5, -1)x(2, 1, 2) = (11, -4, -9)

    Otros vectores perpendiculares son múltiplos de este. X = { λ * (11, -4, -9) }

    Si los ubicamos en el punto (0, 0, 0) forman una recta con vector director (11, -4, -9).

    thumb_up0 voto/sflag