hola necesito saber como se resuelve este ejercicio:
determinar si la matriz A es diagonalizable. en el caso que sea exhibir una matriz P∈R3x3 que diagonalice a A. la matriz A que saque de asociar una Transformacion lineal es A= (000) (111) (202)
desde ya lo agradezco mucho
No sé hacerlo. Espero obtener ayuda esta vez.
Calcular las ecuaciones de las dos rectas que pasando por el punto (1,-2) disten 2 unidades del punto (3,1). Se recomienda hacer dibujo previo.
Buenas, tengo una duda en la derivada de y=1/(ctgx) porque aplicando la fórmula
Sería y'=-(-csc^2 x)/(ctgx)^2
Y'=(csc^2 x)/(ctgx)^2
¿Es correcto?, porque cuando la fórmula de la derivada de y=ctgx es y'=(-csc^2 x) dejo de entender en ese negativo.
Si no me equivoco, y'=(-csc^2 x) también se puede expresar como y'= (-1)(cscx)(cscx)
Cual es el numero N tal que el duplo de su cuarta potencia aumentado en 8 unidades es igual a 40.
siendo que la rsp es x=2

Que tal Angel. resolvi esto y me dio bien.
la raiz cubica de la diferencia entre el triplo de un numero y uno es igual 5.
3 V3x-1 = 5
3 V(3x-1)3 = 5
3x-1 = 53 = 125
3x= 125 - 1= 126
x= 126 : 3 =42.
X=42 . Me dio ese resultado que esta bien con la respuesta que tenia x=42. GRACIAS Angel
Tienes un fallejo en el segundo paso (tienes que elevar ambos lados de la ecuación a 3 para no alterar el resultado de la misma), aunque dejas claro en el siguiente paso que fue un error al teclear.
3 V3x-1 = 5
3 V(3x-1)3 = 53 <----
3x-1 = 53 = 125
3x= 125 - 1= 126
x= 126 : 3 =42.
X=42
Enhorabuena! :)
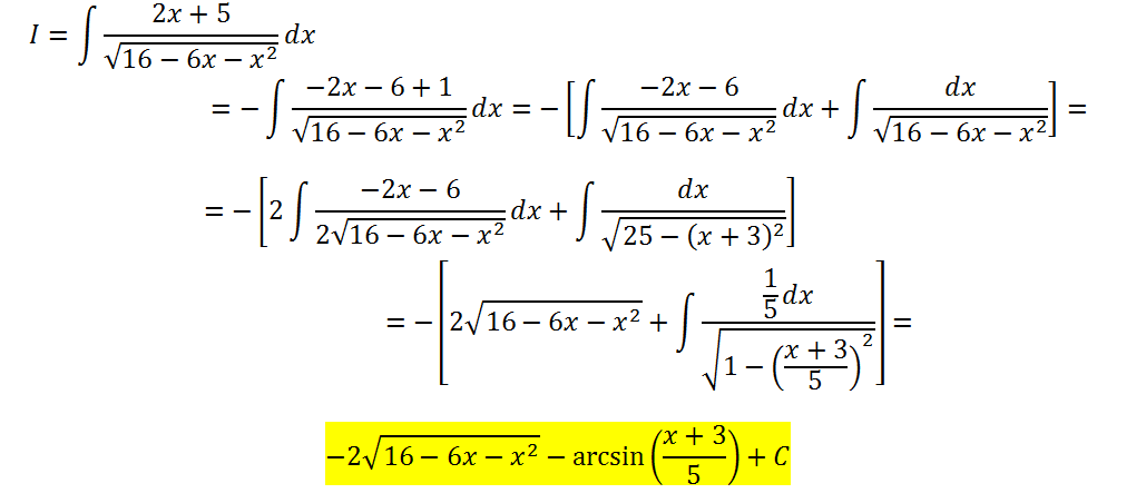
Hola, tengo una duda con este ejercicio resuelto:
Por qué el resultado de la esperanza y la esperanza al cuadrado es 1/3 y 2/9, al ser los límites de integracion +infinito y -infinito, ¿no debería dar inifinito? En symbolab.com me sale que la serie es divergente
Hola unicoos!
me pueden ayudar con estos dos limites?
por L'Hospital: lim x-->0 lnx (e^x -1)
por definicion: lim--> 1/(x)^1/3
gracias mil !!!

Comienza por plantear la intersección entre las dos rectas, para ello considera el sistema de cinco ecuaciones con cuatro incógnitas que tienes con las dos ecuaciones cartesianas de la primera recta y con las tres ecuaciones cartesianas paramétricas de la segunda recta; luego, resuelves el sistema (te dejo la tarea) y tienes el punto: A(1,0,2), con λ = 2, por lo que tienes que las dos rectas son secantes y se cortan en el punto A.
Luego, plantea un vector director de la primera recta, como el producto vectorial entre los vectores normales de los dos planos cuyas ecuaciones tienes, y queda:
u = <1,1,0> x <0,0,1> = <1,-1,0>.
Luego, plantea un vector director de la segunda recta, cuyas componentes tienes en los coeficientes que multiplican al parámetro en sus ecuaciones cartesianas paramétricas, y queda:
v = <1,-2,1>.
Luego, plantea un vector normal al plano que contiene a las dos rectas, como el producto vectorial entre sus vectores directores, y queda:
n = u x v = <1,-1,0> x <1,-2,1> = <-1,-1,-1>.
Luego, tienes todo lo necesario para plantear unaa ecuación cartesiana implícita del plano que contiene a las dos rectas (recuerda que las componentes del vector normal son los coeficientes, y que las coordenadas del punto A(1,0,2) restan a las coordenadas de un punto: P(x,y,z), que es un punto genérico del plano):
-1(x - 1) -1(y - 0) - 1(z - 2) = 0,
distribuyes, cancelas el término nulo, reduces términos semejantes, y queda:
-x -y - z + 3 = 0,
multiplicas por -1 en todos los términos de la ecuación, y queda:
x + y + z - 3 = 0.
Espero haberte ayudado.