Hola, me prodrían decir como se halla el recorrido de la función y=3x²-4x+3
Hola Juan. Si querés resolverlo sin graficar, encontrá el "vértice en y". Será de ahí "para arriba" si el coeficiente cuadrático es positivo (como en este caso que es 3) o de ahí para abajo en caso contrario. Te aclaro que el "vértice en y" pertenece al conjunto que estás buscando.
Para encontrar el "vértice en y" primero encontrá el "vértice en x" para luego reemplazarlo en la función.
hola, me podeis decir donde esta mi fallo?
2x-1/4+2-3x/8= x+7/3
he hecho comun denominador 24 y entonces quitando los denominadores me queda:
12x-6+12-9x=24x+56=
=3x+6=24x+56=
=3x-24x=56-6
-21x=50
x=-50/21
Esta es la respuesta que me da pero en las cuatro soluciones que puedo escoger no está esta....
gracias

Tienes la ecuación:
2x - 1/4 + 2 - 3x/8 = x + 7/3, multiplicas por 24 en todos los términos de la ecuación, y queda:
48x - 6 + 48 - 9x = 24x + 56, haces pasajes de términos, y queda:
48x - 9x - 24x = 56 + 6 - 48, reduces términos semejantes, y queda:
15x = 14, haces pasaje de factor como divisor, y queda:
x = 14/15.
Espero haberte ayudado.

Tienes la ecuación:
2x - 1/4 + 2 - 3x/8 = x + 7/3, multiplicas por 24 en todos los términos de la ecuación, y queda:
48x - 6 + 48 - 9x = 24x + 56, haces pasajes de términos, y queda:
48x - 9x - 24x = 56 + 6 - 48, reduces términos semejantes, y queda:
15x = 14, haces pasaje de factor como divisor, y queda:
x = 14/15.
Espero haberte ayudado.

Lo siento pero sigo sin entender porque dices que multiplicas por 24 en todos los términos, yo tenia entendido que había que hacer mcm y sacar denominador común, y después dividir el denominador común por el denominador antiguo y finalmente multiplicar el resultado de la división por el numerador.
es decir:
denominador común = 24.
24:4= 6 por lo tanto 6(2x-1) y así con el resto de fracciones
Muy buenas chicos! estoy en primero de carrera y tengo una matriz que me esta rompiendo la cabeza para buscar su determinante y no se como he de hacer los pasos para encontrar su determinante...me podeis echar una mano?
es la matriz
1+x 1 1 1
1 1+y 1 1
1 1 1+z 1
1 1 1 1+t
muchas gracias
Creo que este vídeo te puede ayudar https://www.youtube.com/watch?v=bx-vGQFRXlo .
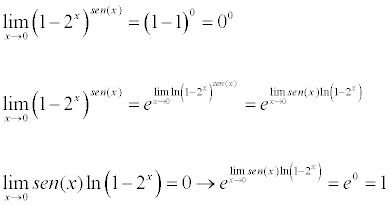
alguien me puede decir si David tiene videos de como se hacen ecuaciones de numeros complejos ?
Todos los vídeos de Unicoos del tema de complejos están en el bloque "Números complejos" en este link https://www.unicoos.com/cursos/1-bachiller/matematicas
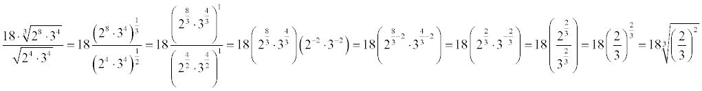
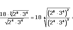
¿ Cómo se procedería a una extracción de factores / simplificación , en esté caso ? Muchas gracias de antemano.

Puedes descomponer el factor entero como producto de factores primos:
18 = 2*32.
Puedes reescribir el argumento de la raíz:
(2/3)2 = 22/32 = (22/32)*(3/3 = (22*3)/(32*3) = (22*3)/33.
Luego, tienes la expresión:
18*∛( (2/3)2 ) = reemplazas:
= 2*32 * ∛( (22*3)/33 ) = distribuyes la raíz:
= 2*32 * ∛(22*3) / ∛(33) = simplificas raíz y potencia:
= 2*32 * ∛(22*3) / 3 = aplicas la propiedad de la división de potencias con bases iguales:
= 2*3*∛(22*3).
Espero haberte ayudado.