Hola buenas noches,
Tengo una curiosidad: que aplicaciones tienen las integrales impropias en la vida real? Es decir, aparte de estudiarse su convergencia o divergencia para que sirven?
Si alguien me puede responder con algún ejemplo, enlace a una página web con ejercicios de este tipo se lo agradecería.
Muchas gracias.
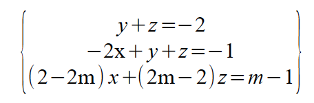
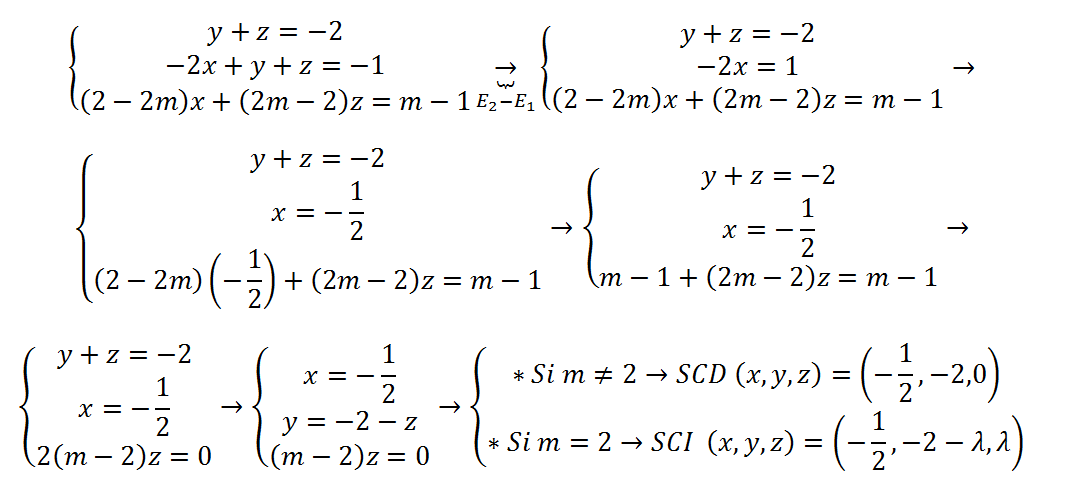
Hola buenas, tengo un problema con el apartado b del siguiente problema, les dejo el enunciado: a) Discutir el sistema según los valores de m. b) Da la solución de los casos que sean posibles. PD: he hecho el apartado a y me a dado, que cuando m≠1 (S.C.Determinado) y cuando m=1 (S.C.Indeterminado con un grado de libertad), ayuda para el b, por favor. ![]()

¡Hola! Nos encantaría ayudarte, pero no solemos responder dudas universitarias que no tengan que ver específicamente con los vídeos que David Calle ha grabado como excepción. O de otras asignaturas que no sean Matemáticas, Física y Química. Lo sentimos de corazón… Esperamos que lo entiendas.
Ojalá algún unicoo universitario se anime a ayudarte (de hecho, lo ideal es que todos los universitarios intentarais ayudaros los unos a los otros).
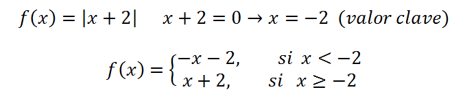
como se desdobla una funciónabsoluta?
f(x)= | x2 -5x +6 |
1.
x2 -5x +6 =0
Obtienes con la fórmula para ec. de 2º grado los valores:
x1= 2
x2= 3
2.
Intervalos
(-inf,2) -------> Signo positivo
(2,3) -------> Signo negativo
(3,inf) -------> Signo positivo
f(x)=
x2 -5x +6 si x≤ 2
-(x2 -5x +6) si 2
x2 -5x +6 si x>3
f(x)=
x2 -5x +6 si x≤ 2
-x2 +5x -6 si 2
x2 -5x +6 si x>3