Foro de preguntas y respuestas de Matemáticas

logo beUnicoos
Los foros de unicoos se han unificado en nuestra nueva plataforma beUnicoos. Para dejar nuevas preguntas deberás hacerlo allí, donde además podrás encontrar nuevas asignaturas y herramientas para ayudarte más con tus estudios.

  • Usuario eliminado
    el 9/2/18

    -2-x        0           0

    0           -1-x         -1

    0           -1             -1-x


    Este determinante me da -x`3 +4x^2 -4x  , es correcto?

    replythumb_up0 voto/sflag
    icon

    César
    el 9/2/18

    x^34x^24x

    thumb_up0 voto/sflag

    Usuario eliminado
    el 9/2/18

    Ya se donde esta el error, gracias.

    thumb_up0 voto/sflag
  • Usuario eliminado
    el 9/2/18

    Consideramos una forma quadratica Q (x,y,z) . Si Q (1,1,1)=3

    a) Q(2,2,2)=6

    B) Q (2,2,2)=12

    C) No tengo suficientes datos para calcular la imagen Q (2,2,2)

    Creo que es la A pero lo veo muy obvio, me lo pueden confirmar

    replythumb_up0 voto/sflag
    icon

    Antonius Benedictus
    el 9/2/18

    Si Q(x,y,z)=(x,y,z)·A·(x,y,z)^t

    Q(2,2,2)=2(1,1,1)·A·2(1,1,1)^t=4Q(1,1,1)=12

    thumb_up0 voto/sflag

    Usuario eliminado
    el 9/2/18

    De acuerdo, gracias.

    thumb_up0 voto/sflag

    Usuario eliminado
    el 7/3/18

    Antonio de donde sacas los dos números dos?

    thumb_up0 voto/sflag
  • icon

    vanesa
    el 9/2/18

    como hacer raiz cubica busco el video de unicoos y no teneis ese video. para un futuro haber si lo podemos tener.

    gracias

    replythumb_up0 voto/sflag
    icon

    César
    el 9/2/18

    https://www.youtube.com/watch?v=3f9Ks4OBA0Y


    thumb_up0 voto/sflag
    icon

    Antonius Benedictus
    el 9/2/18

    El algoritmo de la raíz cúbica ha quedado fuera del currículo de Matematícas de Primaria, ESO y Bachillerato de en España. 

    https://www.youtube.com/watch?v=28mljYrH1AU


    thumb_up0 voto/sflag
  • icon

    Aitor
    el 9/2/18

    Hola buenas tardes,

    En estadística dice así el ejercicio: de la siguiente tabla de frecuencias (n = ciudades)  saque en cuantas ciudades ha sido la temperatura máxima mas alta que 42ºC  y en cuantas ciudades no superaron las temperaturas máximas los 10ºC .

    Si alguien me ayudase, se lo agradecería mucho.


    Muchas gracias,



    replythumb_up0 voto/sflag
    icon

    Antonius Benedictus
    el 9/2/18

    Esto no se puede leer.

    thumb_up0 voto/sflag
  • icon

    arieel
    el 9/2/18

    el doble de la suma  de un numero y su siguiente


    replythumb_up0 voto/sflag
    icon

    César
    el 9/2/18

    sea n el número   y  n+1   el siguiente     , el doble de la suma  de un numero y su siguiente  será   2(n+n+1)=4n+2

    thumb_up1 voto/sflag
  • icon

    arieel
    el 9/2/18

    La suma de un numero desconocido con el doble de su siguiente

    replythumb_up0 voto/sflag
    icon

    Ángel
    el 9/2/18

    -Reconstruimos desde lo más básico la expresión en lenguaje coloquial  y la pasamos a lenguaje matemático:

    1er paso) Número desconocido (incógnita) ------>       "n"

    2º paso) "Su siguiente"  -----> Como se refiere al "n" , el siguiente de n será "n+1"

    3er paso) "El doble de su siguiente"  -----> Dos veces su siguiente  "2*(n+1)"

    4º paso) Enunciado: "La suma de un numero desconocido con el doble de su siguiente"  ----->  "n+ 2*(n+1)"

    5º paso) Finalmente, simplificamos lo obtenido en el anterior paso: n+ 2*(n+1) = n+2n+2 = 3n+2  <----solución

    thumb_up1 voto/sflag
    icon

    arieel
    el 9/2/18

    gracias, muy bien con los detalles.

    thumb_up0 voto/sflag
  • icon

    arieel
    el 9/2/18

    que tal,  expreciones  en lenguaje coloquial.

    El siguiente de un numero par. 


    replythumb_up0 voto/sflag
    icon

    César
    el 9/2/18

    Y que te piden , pasarlo a lenguaje matemático ??

    thumb_up1 voto/sflag
    icon

    arieel
    el 9/2/18

    hola si.

    thumb_up0 voto/sflag
    icon

    Roberto Mulas García
    el 9/2/18

    En lenguaje algebraico sería: 2x+1

    thumb_up1 voto/sflag
  • icon

    Zanubia Nufuri
    el 9/2/18

    Hola!! 

    Como se calcula el siguiente limite?

    lim-->x0 sen (3x)/2x 

    Muchas Gracias!


    replythumb_up0 voto/sflag
    icon

    César
    el 9/2/18


    thumb_up1 voto/sflag
  • icon

    Zanubia Nufuri
    el 9/2/18

    Hola!! estoy tratando de resolver el siguiente limite usando la forma de lim x---> ∞(1+1/x)^x=e pero no logro resolverlo:

    limx--->∞ (x/e^x)


    Gracias!!


    replythumb_up0 voto/sflag
    icon

    Antonius Benedictus
    el 9/2/18

    Por L'Hôpital:

    lim 1/e^x =1/(+inf.)=0

    thumb_up1 voto/sflag
  • icon

    Arnau Planas
    el 9/2/18

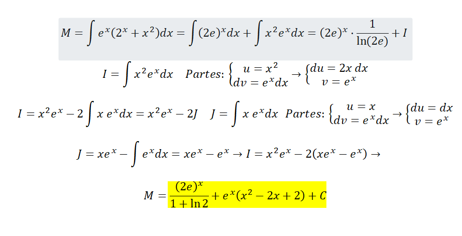
    Buenas tardes. ¿Me podrían ayudar con estas integrales?

    1- ∫ ex (2x + x2)

    2- ∫ tg4x

    Muchas gracias

    replythumb_up0 voto/sflag
    icon

    Antonius Benedictus
    el 9/2/18


    thumb_up1 voto/sflag
    icon

    Antonius Benedictus
    el 9/2/18


    thumb_up1 voto/sflag
    icon

    Arnau Planas
    el 16/2/18

    ¡Muchas gracias!


    thumb_up0 voto/sflag