Hola, ¿cómo se hace este ejercicio?
Concretamente, ¿cómo elijo las soluciones correctas?
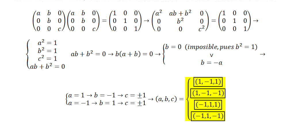
He multiplicado la matriz por sí misma y el resultado lo he igualado con la matriz identidad, pero todas las incógnitas tienen dos soluciones posibles (excepto la b que tiene 3). He probado con la calculadora online de matrices y me salen dos soluciones posibles: a = 1, b = -1, c = 1 y a = 1, b = -1, c = -1. El problema es que no sé cómo escoger las combinaciones correctas sin comprobarlo, supongo que debe de haber alguna manera para saber qué soluciones son las correctas.
Me sale: a = ±1 ; b = 0, -1 ; b = ±1 y c = ±1
Gracias.
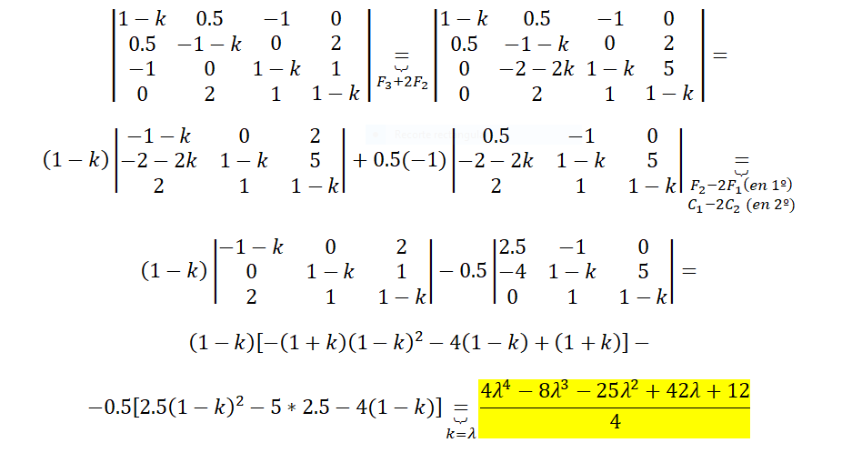
Cogo la primera columna
(-1) ^2 * (1-x) * (-1-x 0 2 + (1/2) * (-1)^3 * ( 1/2 -1 0 + (-1) * (-1)^4 * ( 1/2 -1 0
0 1-x 2 0 1-x 1 -1-x 0 2
2 1 1-x) 2 1 1-x) 2 1 1-x)
(1-x)^4 * (1-x) -4 +4x +1 +x -1/2 * (1-x)^2 -2 -1/2 -4-((1+x)*(1-x)
No se donde esta el error, ya que el resultado no me da lo mismo, me lo puede mirar desde que lo he hecho yo, porfavor.

Hola buenas tardes,
En estadística dice así el ejercicio: de la siguiente tabla de frecuencias (n = ciudades) saque: las ciudades en las que la temperatura máxima haya sido más alta que 42ºC y las que no superaron como temperatura máxima los 10ºC .
A ver si ahora mejor.
Con el siguiente ejercicio de limite tampoco puedo usar L'hospital:
lim-->x0 sen (3x)/2x
Gracias!!

Recuerda el límite trascendente que has vito en clase:
Lím(u→0) sen(u)/u = 1 (1).
Luego, tienes el límite de tu enunciado, que es indeterminado porque el numerador y el denominador tienden a cero:
L = Lím(x→0) sen(3x)/(2x), extraes el factor constante del denominador, y queda:
L = (1/2) * Lím(x→0) sen(3x)/(x), multiplicas por 3 al numerador y al denominador del argumento, y queda:
L = (1/2) * Lím(x→0) 3*sen(3x)/(3x), extraes el factor constate del numerador, y queda:
L = (3/2) * Lím(x→0) sen(3x)/(3x);
luego, aplicas la sustitución (cambio de variable: u = 3x (observa que u tiende a cero cuando x tiende a cero), y queda:
L = (3/2) * Lím(u→0) sen(u)/u, aplicas el límite trascendente señalado (1), y queda:
L = (3/2)*1 = 3/2.
Observa que puedes verificar la validez del resultado por medio de la Regla de L'Hôpital.
Espero haberte ayudado.
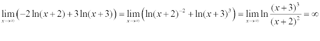
Hola!! Gracias a los que me respondieron la consulta, pero estoy tratando de resolver el siguiente limite SIN USAR L'HOSPITAL usando la forma de lim x---> ∞(1+1/x)^x=e pero no logro resolverlo:
limx--->∞ (x/e^x