Hola
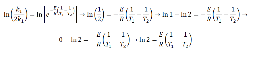
Me podriais explicar como pasa de K/2K a ln 2,¿¿ no sería ln 1/2?? ( ya que al quitar las k se queda 1/2)
me podrían ayudar con el siguiente limite (sin usar l'hospital)
lim--->0 (sen(3x)+x)/(x-sen(2x))
Gracias miles!!

Extraes factores comunes en el numerador (N) y en el denominador (D), y quedan:
N = sen(3x) + x = x*( sen(3x)/x + 1 ) = x*( 3*sen(3x)/(3x) + 1 );
D = x - sen(2x) = x*( 1 - sen(2x)/x ) = x*( 1 - 2*sen(2x)/(2x) ).
Luego, tienes el argumento del límite de tu enunciado:
f(x) = ( sen(3x) + x ) / ( x - sen(2x) ), sustituyes expresiones, y queda:
f(x) = x*( 3*sen(3x)/(3x) + 1 ) / x*( 1 - 2*sen(2x)/(2x) ), simplificas, y queda:
f(x) = ( 3*sen(3x)/(3x) + 1 ) / ( 1 - 2*sen(2x)/(2x) ).
Luego, tienes el límite de tu enunciado:
L = Lím(x→0) [ ( 3*sen(3x)/(3x) + 1 ) / ( 1 - 2*sen(2x)/(2x) ) ], expresas como una división entre límites, y queda:
L = Lím(x→0) ( 3*sen(3x)/(3x) + 1 ) / Lím(x→0) ( 1 - 2*sen(2x)/(2x) ),
luego, planteas las sustituciones (cambios de variables):
u = 3x (observa que u tiende a 0 cuando x tiende a cero),
w = 2x (observa que w tiende a 0 cuando x tiende a cero);
luego, sustituyes, y queda:
L = Lím(u→0) ( 3*sen(u)/u + 1 ) / Lím(w→0) ( 1 - 2*sen(w)/w );
luego, resuelves los límites de los términos remarcados del numerador y del denominador (observa que son iguales a uno como has visto en clase), y queda:
L = (3*1 + 1) / (1 - 2*1) = 4/(-1) = -4.
Espero haberte ayudado.
Hola, no consigo resolver el siguiente ejercicio:
-Expresar las funciones como una función definida a trozos:
d)||x|-1|
¿Podéis echarme una mano?

Tienes la expresión de la función, y observa que debes tener en cuenta la definición de valor absoluto para expresar cada trozo con su condición:
f(x) = | |x| - 1 | = despliegas el valor absoluto interno, y queda:
| x - 1 | si x ≥ 0,
| -x - 1| si x < 0;
luego, observa que la segunda expresión puede escribirse |-x-1| = |-1*(x+1)| = |-1|*|x+1| = 1*|x+1| = |x+1|;
luego, sustituyes la segunda expresión, y la expresión de la función queda:
f(x) =
| x - 1 | si x ≥ 0,
| x + 1| si x < 0;
luego, despliegas los valores absolutos (observa que se agrega una condición a las condiciones que están indicadas), y queda:
f(x) = | |x| - 1 | =
x - 1 si x - 1 ≥ 0 y x ≥ 0 (observa que la primera inecuación puede expresarse: x ≥ 1),
-(x - 1) si x - 1 < 0 y x ≥ 0 (observa que la primera inecuación puede expresarse: x < 1),
x + 1 si x + 1 ≥ 0 y x < 0 (observa que la primera inecuación puede expresarse: x ≥ -1),
-(x + 1) si x + 1 < 0 y x < 0 (observa que la primera inecuación puede expresarse: x < -1);
luego, distribuyes signos en la segunda y cuarta expresión, expresas como una sola condición a cada par de condiciones remarcadas, y queda:
f(x) = | |x| - 1 | =
x - 1 si x ≥ 1,
-x + 1 si 0 ≤ x < 1,
x + 1 si -1 ≤ x < 0,
-x - 1 si x < -1.
Espero haberte ayudado.