Foro de preguntas y respuestas de Matemáticas

logo beUnicoos
Los foros de unicoos se han unificado en nuestra nueva plataforma beUnicoos. Para dejar nuevas preguntas deberás hacerlo allí, donde además podrás encontrar nuevas asignaturas y herramientas para ayudarte más con tus estudios.

  • icon

    Paula
    el 3/12/19

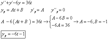
    La solución particular de estas ecuaciones son de este tipo? Por si me podrían corregir por favor

    a) y"-2y'-y=1+te^t---> solución particular: yp=B+Ae^t

    b) y"+2y'+3y=e^t*sent --->solución particular: yp= Ae^t*sen(t)+Be^t*cos(t)


    replythumb_up0 voto/sflag
    icon

    César
    el 3/12/19

    Si es correcto

    thumb_up1 voto/sflag
  • icon

    Paula
    el 3/12/19

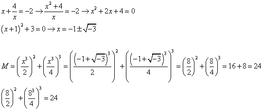
    Esto está mal? Es sacar la solución particular. No encuentro la lógica, por favor

    replythumb_up0 voto/sflag
    icon

    César
    el 3/12/19


    thumb_up1 voto/sflag
  • icon

    Shirley
    el 3/12/19


    replythumb_up0 voto/sflag
    icon

    César
    el 3/12/19


    thumb_up0 voto/sflag
  • icon

    Viridiana Mendez
    el 3/12/19

    ¿Cómo puedo conocer el tamaño de un lado de un trapezoide, si sólo conozco 3 de sus lados?

    replythumb_up0 voto/sflag
    icon

    César
    el 3/12/19

    Pues no quedaría definido si solo conoces los lados.


    thumb_up0 voto/sflag
  • icon

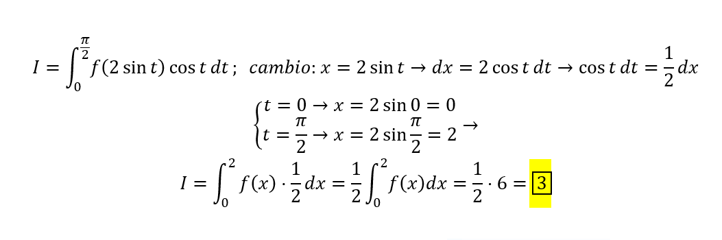
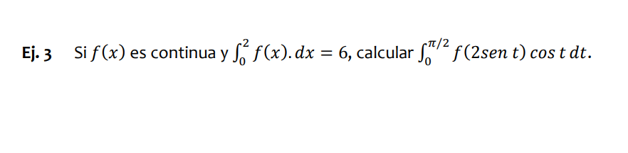
    Ariana
    el 3/12/19

    Buenas noches, alguno me ayuda urgente con estas demostraciones? (tengo taquicardia porque no lo entiendo)


    replythumb_up0 voto/sflag
    icon

    Antonius Benedictus
    el 3/12/19


    thumb_up0 voto/sflag
  • icon

    Shirley
    el 3/12/19


    replythumb_up0 voto/sflag
    icon

    Antonius Benedictus
    el 3/12/19


    thumb_up1 voto/sflag
  • icon

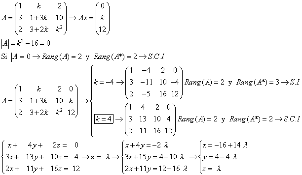
    Tobias Arias
    el 3/12/19

    quisiera saber si esta bien hasta ahi,el sistema lo resuelvo mediante su solucion en el homogeñeo mas una solucion particular,preciso resolucion de esa parte,desde ya gracias.

    replythumb_up0 voto/sflag
    icon

    César
    el 3/12/19


    thumb_up1 voto/sflag
    icon

    Tobias Arias
    el 3/12/19

    Gracias,una consulta la forma parametrica vectorial quedaria asi?. L(x,y,z):(-16+14λ)+(4-4λ)+λ     L(x,y,z):λ(14;-4;1) + (-16;4;0).

    thumb_up0 voto/sflag
  • icon

    Tomas Roldan
    el 2/12/19

    Hola, me podrian ayudar con esto??

    replythumb_up0 voto/sflag
    icon

    Antonius Benedictus
    el 2/12/19


    thumb_up0 voto/sflag
  • icon

    Mariano Michel Cornejo
    el 2/12/19

    Hola alguien que me ayude con este ejercicio por favor, gracias.


    replythumb_up0 voto/sflag
    icon

    Jose Ramos
    el 2/12/19


    thumb_up0 voto/sflag
  • icon

    Alvaro Garcia
    el 2/12/19

    Hola que tal me podrían ayudar a simplificar esta función logicas, con las leyes de algebra de boole

    replythumb_up0 voto/sflag
    icon

    César
    el 2/12/19


    thumb_up1 voto/sflag