
se trata de que DESPUES DE IR A CLASE (ver los vídeos relacionados con
vuestras dudas) enviéis dudas concretas, muy concretas. Y que nos enviéis
también todo aquello que hayais conseguido hacer por vosotros mismos. Paso a
paso, esté bien o mal. No solo el enunciado. De esa manera podremos saber
vuestro nivel, en que podemos ayudaros, cuales son vuestros fallos.... Y el
trabajo duro será el vuestro. Nos cuentas ¿ok? #nosvemosenclase ;-)
Hola! Tengo inconvenientes al resolver este problema, al buscar la formula de la transformación debería quedarme una matriz 4x3 pero queda 3x3, e igual forma, al evaluar los vectores en la fórmula que hago, no cumple el transformado. Alguien me ayuda?
En un sistema de ecuaciones calcular C¹ y C²:
x(0)=1=C¹+C²
y(0)=1=3/4C¹-C²
Alguien me puede desarrollar como sacar el C¹? Yo lo que pensé es sumar:
C¹+C²
3/4C¹-C²
-------------
4/4C¹+3/4C¹= 7/4C¹=1 ( igualar a la ecuación x(0)=1)
Despejar C¹
C¹= 4/7
...pero en la solución me da que es C¹= 8/7 y no lo veo :(
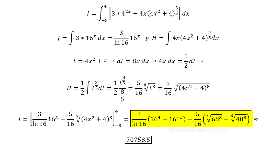
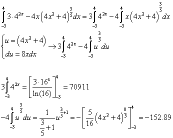
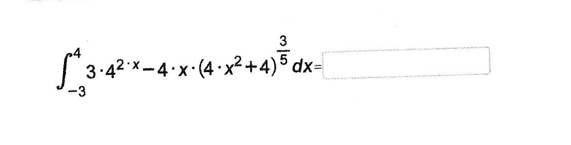
Esta integral definida meda una solución imposible, decirme, por favor si es así o estoy perdido. Gracias