Foro de preguntas y respuestas de Matemáticas

logo beUnicoos
Los foros de unicoos se han unificado en nuestra nueva plataforma beUnicoos. Para dejar nuevas preguntas deberás hacerlo allí, donde además podrás encontrar nuevas asignaturas y herramientas para ayudarte más con tus estudios.

  • icon

    Rubén
    el 2/12/19

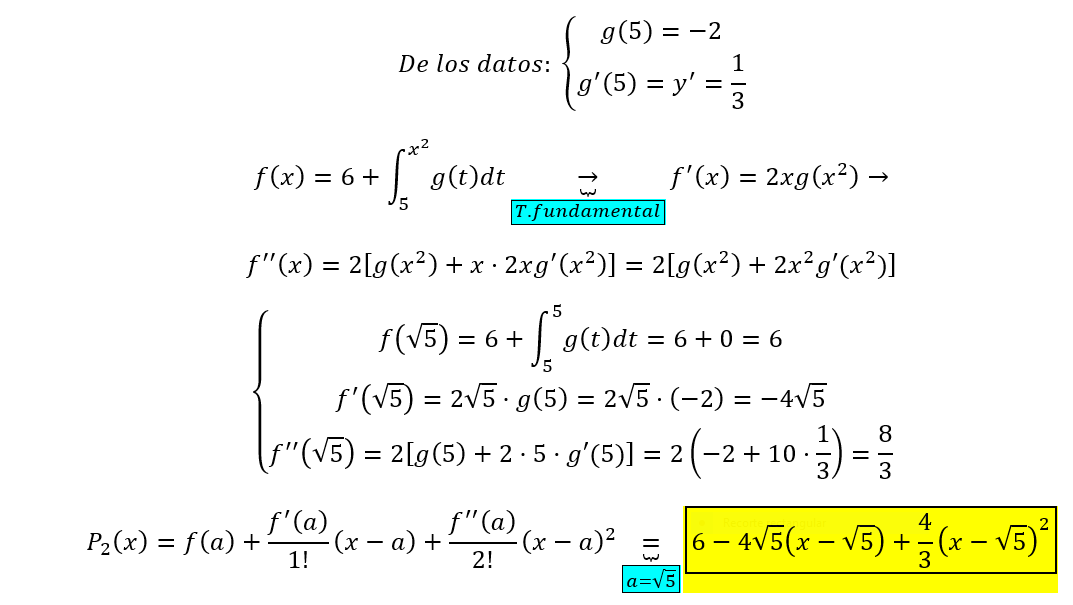
    Hola! Me pueden ayudar con este ejercicio de subespacios vectoriales?


    replythumb_up0 voto/sflag
    icon

    Antonius Benedictus
    el 2/12/19


    thumb_up0 voto/sflag
  • icon

    Danilo
    el 2/12/19

    Hola gente, me dan una mano con este ejercicio por favor

    replythumb_up0 voto/sflag
  • icon

    Aroa García
    el 2/12/19

  • icon

    Marinés Querab
    el 2/12/19

    Hola. Buenas tardes. Podrían ayudarme con este ejercicio de estadísticas. Saludos y gracias.


    replythumb_up0 voto/sflag
    icon

    Antonius Benedictus
    el 2/12/19


    thumb_up1 voto/sflag
  • icon

    Rubén
    el 2/12/19

    Hola unicoos, por favor me pueden decir si he resuelto bien este ejercicio?:


    replythumb_up0 voto/sflag
    icon

    Antonius Benedictus
    el 2/12/19

    Lo está.

    thumb_up0 voto/sflag
  • icon

    Lautaro
    el 2/12/19

    Buenas unicoos, me podrían ayudar con este ejercicio x favor..muchas gracias

    replythumb_up0 voto/sflag
    icon

    Antonius Benedictus
    el 2/12/19

    Revisa el enunciado. Si el punto de tangencia es (5,-2), la recta tangente ha de pasar por ese punto, cosa que no sucede.

    thumb_up0 voto/sflag
    icon

    Lautaro
    el 2/12/19


    thumb_up0 voto/sflag
    icon

    Antonius Benedictus
    el 2/12/19

    Vamos a interpretar: "la recta tangente en (5;-2) es paralela a y=(1/3)x-1"

    Si no, es absurdo el enunciado.


    thumb_up0 voto/sflag
    icon

    Lautaro
    el 2/12/19

    Muchas gracias

    thumb_up1 voto/sflag
  • icon

    Aroa García
    el 2/12/19

    sería lo mismo? 

    replythumb_up0 voto/sflag
    icon

    Antonius Benedictus
    el 2/12/19

    Claramente,no. Es lo opuesto.

    thumb_up0 voto/sflag
  • icon

    Paula
    el 2/12/19

    La solución particular de y"-4y=senht

    No sé cómo hacerla :( 

    replythumb_up0 voto/sflag
    icon

    Mauro Prado Alejandro
    el 2/12/19

    la solución particular tiene la forma: yp(t) = A1cos(ht) + A2sen(ht) , donde A1y A2 son constantes.

    al igualar ( A1cos(ht) + A2sen(ht) )'' - 4(A1cos(ht) + A2sen(ht)) = sin(ht), hallarás los valores de A1y A2

    thumb_up1 voto/sflag
    icon

    Paula
    el 2/12/19

    Ahh y cómo sabes qué tipo de forma de solución particular es para empezar? Hay varios tipos? Es que no sé cuáles son y cual tengo que utilizar en cada caso 

    thumb_up0 voto/sflag
    icon

    Mauro Prado Alejandro
    el 2/12/19

    Por el método de coeficientes indeterminados aquí te dejo un cuadro.

    Cuando al aplicar la forma por coeficientes indeterminados  resulta que la solución particular es linealmente dependiente de la solución complementaria debes multiplicarla por ts donde s es el mínimo exponente para alcanzar la independencia lineal.

    thumb_up1 voto/sflag
    icon

    Paula
    el 3/12/19

    Como saco los coeficientes??

    thumb_up0 voto/sflag
    icon

    Mauro Prado Alejandro
    el 4/12/19

    Puedes igualar el t a cero y  tienes sen y cos conocidos con los que trabajar.


    thumb_up1 voto/sflag
  • icon

    lucia1902
    el 2/12/19

    Si igualo z=4-2x y z=4-x -y2 me da la circunferencia (x-1)2 +y2 =1 que sería la región de integración


    Me conviene usar coordenadas polares que cartesianas, no?

    Los límites de integración serían 1≤r≤2 y 0≤θ≤2π y la integral planteada sería



    replythumb_up0 voto/sflag
  • icon

    Paula
    el 2/12/19

    Ayuda!! Por favor.

    En un sistema de ecuaciones calcular C¹ y C²:

    x(0)=1=C¹+C²

    y(0)=1=3/4C¹-C²


    Alguien me puede desarrollar como sacar el C¹? Yo lo que pensé es sumar:

    C¹+C²

    3/4C¹-C²

    -------------

    4/4C¹+3/4C¹= 7/4C¹=1 ( igualar a la ecuación x(0)=1)

    Despejar C¹

    C¹= 4/7

    ...pero en la solución me da que es C¹= 8/7 y no lo veo :(

    replythumb_up0 voto/sflag
    icon

    Mauro Prado Alejandro
    el 2/12/19

    cuando sumas las ecuaciones también debes sumar lo de la izquierda ( 1 + 1); 4/4C1+3/4C= 2, de allí resulta C1 = 8/7


    thumb_up1 voto/sflag