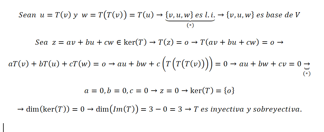
Buenas, Cómo se hace este ejercicio?

Esto se podría haber resulelto aplicando esto:
¿no? Ya que si haces la transformación de todo el conjunto ese que es LI, te queda otro LI, porque T(v) y T(T(v)) eran parte de un conjunto LI y además T(T(T(V))) = v el cuál es LI con los otros. Además como el conjunto tiene 3 elementos al igual que la dimensión de V, entonces los 2 conjuntos son bases. ¿Está bien pensado así?
Hola. Me preguntaba si me podríais revisar este ejercicio porque se supone que tiene que dar -24 y a mi me sale -7. Y una ultima pregunta: Si en Gauss utilizo la columna que hay marcada en la foto ¿que tendría que hacer con los unos, los hago ceros o los dejo todos con uno ?. Y si los dejo como unos no tendría nada que calcular porque no variaría la matriz ¿no?
Un saludo y muchísimas gracias.
Hola unicoos en un ejercicio que tengo me surgió una duda..
Me dan 3 puntos de una circunferencia, hallo las ecuaciones de 2 mediatrices para tener el centro, no? y luego que desarrollo y tengo los valores de x e y del centro estos se invierten? por qué?
Es decir a mi me da que x es 1 ; y es 2. pero las coordenadas del C(2,1)
Buenas, Cómo se hace este ejercicio? Cómo podría hallar las bases de esos subespacios?
