Foro de preguntas y respuestas de Matemáticas

logo beUnicoos
Los foros de unicoos se han unificado en nuestra nueva plataforma beUnicoos. Para dejar nuevas preguntas deberás hacerlo allí, donde además podrás encontrar nuevas asignaturas y herramientas para ayudarte más con tus estudios.

  • icon

    Alprado
    el 30/1/18

    Hola, buenas noches. Llevo tres días intentando resolver este ejercicio. Pongo una foto del enunciado y dos fotos de mis intentos por resolverlo aunque sé que no están bien porque me tendría que salir una curva y me sale una recta. Gracias de antemano. Saludos.

    replythumb_up0 voto/sflag
    icon

    César
    el 30/1/18

    es que es una recta   2x-y=3


    thumb_up1 voto/sflag
    icon

    Antonius Benedictus
    el 30/1/18



    thumb_up1 voto/sflag
  • icon

    Yolanda Puche
    el 30/1/18

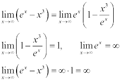
    el límite de (ex-x3)     cuando la x tiende al mas infinito, no entiendo por que es mas infinito la respuesta.. 

    replythumb_up0 voto/sflag
    icon

    César
    el 30/1/18



    thumb_up0 voto/sflag
    icon

    Yolanda Puche
    el 31/1/18

    pues no lo entiendo, no sé qué ha hecho

    thumb_up0 voto/sflag
  • icon

    Carlos Giner
    el 30/1/18

    Me podrían ayudar con el procedimiento de la siguiente integral:

    (senx)/(senx+cosx)          t=tgx



    Resultado: (-1/2) ln|tgx +1|+(1/4) ln (1+tg2x) +(1/2)x +C                                       Gracias.


    replythumb_up0 voto/sflag
    icon

    César
    el 30/1/18


    thumb_up0 voto/sflag
  • icon

    Paula Sánchez
    el 30/1/18






    Buenas¡¡


    querria saber como se pasa de un paso a otro, es decir como ha pasado de x+y+z=0 al siguiente paso


    graciasssss

    replythumb_up0 voto/sflag
    icon

    César
    el 30/1/18

    Tenemos 1 ecuación y 3 incongnitas, luedo debemos usar 2 parametros

    y=t

    z=u

    despejando x=-y-z     x=-t-u 

     como ves es lo mismo


    thumb_up0 voto/sflag
  • icon

    David Poyatos
    el 30/1/18

    Hola, como se resuelve el siguiente ejercicio:

    Una persona va andando en línea recta. En un cierto momento observa una torre con un ángulo de 45 grados hacia la derecha según avanza. Continúa caminando durante 500 m. por el camino y gira hacia la derecha con un ángulo de 90 grados. Avanza 200 m. más y entonces el camino gira hacia la izquierda con un ángulo de 90 grados y continúa su avance otros 150 m. En ese instante ve la torre con un ángulo de 60 grados. ¿Cuál es la distancia que hay en este momento desde ese punto a la torre?

    Mi duda está en que no me sale el dibujo del problema ¿Como se haría el dibujo del problema para poder resolverlo?


    replythumb_up0 voto/sflag
    icon

    César
    el 30/1/18


    thumb_up0 voto/sflag
  • icon

    Álvaro sl
    el 30/1/18

    me ha surgido una duda haciendo integrales por fracciones parciales . SI una integral es por ejemplo 1/( x^7(x+1)) . Al dividirlo en fracciones , se pone A/X^7 + B/X^6 ...... hasta 1 . no?

    Como puede saberse en ese caso el valor de A ,B ,C ... , puesto que al sustituir la raiz , me quedan muchas incógnitas. Espero que entiendan mi duda jeje


    replythumb_up0 voto/sflag
    icon

    César
    el 30/1/18



    thumb_up0 voto/sflag
  • icon

    Lu Ibarra
    el 30/1/18

     Me pueden ayudar? No se que criterios usar para estudiar la convergencia de esta integral impropia

    replythumb_up0 voto/sflag
    icon

    Antonius Benedictus
    el 30/1/18

    Revisa el enunciado, Lu.

    thumb_up0 voto/sflag
    icon

    Lu Ibarra
    el 30/1/18

    El enunciado está bien porque es un ejercicio de examen. El xdx se les escapó una x pero lo demás está bien

    thumb_up0 voto/sflag
    icon

    Antonius Benedictus
    el 30/1/18

    Entonces, ¿cuál es el enunciado exacto?

    thumb_up0 voto/sflag
    icon

    Lu Ibarra
    el 30/1/18

    Tengo que usar los criterios para saber si la integral impropia que me ponen en el enunciado converge o diverge

    thumb_up0 voto/sflag
  • icon

    Froylan
    el 30/1/18

    Me pueden ayudar explicando porque en està simplificaciòn da 1


    replythumb_up0 voto/sflag
    icon

    Lu Ibarra
    el 30/1/18

    Disculpame pero desde un principio esta mal porque si vos haces la distribuitiva de (a-b)*(a-b) lo que te queda es a2-2a.b+b Fijate de cambiarle los signos: (a-b)(a+b) y lo mismo en el denominador

    thumb_up0 voto/sflag
  • icon

    Paula Sánchez
    el 30/1/18

    Holaaaaa


    Alguien me puede explicar cómo se continúa el haz de planos??

    Gracias


    replythumb_up0 voto/sflag
    icon

    Antonius Benedictus
    el 30/1/18

    Pon foto del enunciado original, por favor.

    thumb_up0 voto/sflag
    icon

    Paula Sánchez
    el 30/1/18

    Independientemente del enunciado querria saber como se calcula un haz de planos. ahí hay un ejemplo de haz de planos pero no se continuarlo

    thumb_up0 voto/sflag
  • icon

    German Ramirez
    el 30/1/18

    Alguien me puede ayudar con este problema por favor 

    replythumb_up0 voto/sflag
    icon

    Antonius Benedictus
    el 30/1/18


    thumb_up1 voto/sflag
    icon

    German Ramirez
    el 31/1/18

    muchas gracias.


    thumb_up0 voto/sflag