alguien me puede ayudar con los Aumentos y Disminuciones Porcentuales???
Buenas tardes, no sé de qué manera formar un sistema de ecuaciones cuya solución debe de ser (a, a-1) y resolverla.
¿Alguien podría ayudarme y explicarme como sería? GRACIAS.

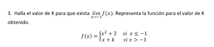
Plaantea los lìmtes laterales para x tendiendo a -1:
Lím(x→-1-) f(x) = Lím(x→-1-) (x2 + 2) = 3,
Lím(x→-1+) f(x) = Lím(x→-1+) (x + k) = -1 + k;
luego, para que el límite exista debe cumplirse que los límites laterales son iguales, por lo que tienes la ecuación:
-1 + k = 3, haces pasaje de término, y queda:
k = 4.
Espero haberte ayudado.