Foro de preguntas y respuestas de Matemáticas

logo beUnicoos
Los foros de unicoos se han unificado en nuestra nueva plataforma beUnicoos. Para dejar nuevas preguntas deberás hacerlo allí, donde además podrás encontrar nuevas asignaturas y herramientas para ayudarte más con tus estudios.

  • icon

    anaespo
    el 25/12/17

    Hola tengo dudas en el apartado a 


    replythumb_up0 voto/sflag
    icon

    Antonius Benedictus
    el 25/12/17


    thumb_up0 voto/sflag
  • icon

    jesus ibañez cantos
    el 25/12/17

    alguin me puede ayudar con los monomios esque me se los polinomios pero no los monomios


    replythumb_up0 voto/sflag
    icon

    Antonio Silvio Palmitano
    el 25/12/17

    Por favor, envía una imagen con tu ejercicio.

    De todas formas, puedes considerar que los monomios son polinomios con un solo término, y puedes aplicar todas las propiedades que conoces.

    Espero haberte ayudado.


    thumb_up1 voto/sflag
  • icon

    Héctor
    el 24/12/17

    Ayudadme unicoos, con este logaritmo por favor


    replythumb_up1 voto/sflag
    icon

    Antonius Benedictus
    el 24/12/17


    thumb_up0 voto/sflag
  • icon

    Pablo
    el 24/12/17

    Buenas a todos, después de vacaciones tengo un examen muy importante de 3 temas. El tema donde mas dificultades tengo es el tema de Formulas Trigonométricas. Me podríais decir algun sitio donde lo expliquen o algun video.

    Gracias y Feliz Navidad.

    replythumb_up0 voto/sflag
    icon

    Axel Morales Piñón.
    el 24/12/17

    En preciso, ¿qué ejercicios tienes dudas?

    thumb_up1 voto/sflag
    icon

    César
    el 24/12/17

    Muchas se deducen a partir de otras, lamentablemente hay que aprender la mayoria de ellas.

    http://laplace.us.es/wiki/index.php/Tabla_de_f%C3%B3rmulas_de_trigonometr%C3%ADa

    thumb_up1 voto/sflag
    icon

    Antonius Benedictus
    el 24/12/17

    http://www.jorge-fernandez.es/proyectos/angulo/temas/indice.html


    thumb_up1 voto/sflag
    icon

    Pablo
    el 29/12/17

     Son de este tipo. No se como hacerlos


    thumb_up0 voto/sflag
  • icon

    anaespo
    el 24/12/17

    Tengo dudas en el 148 y 149,sobre todo en el 149 me sale que no hay ningún valor de a y b que cumpla la condición 

    replythumb_up0 voto/sflag
    icon

    César
    el 24/12/17


    thumb_up0 voto/sflag
  • icon

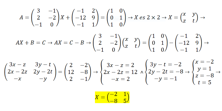
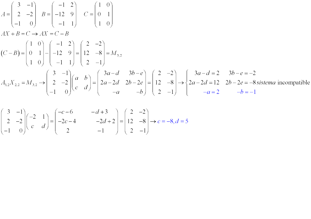
    A. Q Torres
    el 24/12/17

    Hola unicoos tengo una duda con el siguiente ejercicio:

    Supongo que hay que utilizar propiedades de matrices pero no me doy cuenta como, me podrían ayudar? Gracias

    replythumb_up0 voto/sflag
    icon

    César
    el 24/12/17


    thumb_up1 voto/sflag
    icon

    Antonius Benedictus
    el 24/12/17


    thumb_up1 voto/sflag
  • icon

    Yolanda
    el 24/12/17

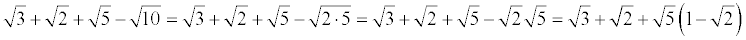
    Buenos días, ejercicio de suma de raices no semejantes que yo creo que no se puede hacer nada ¿me ayudas por favor? Gracias

    replythumb_up0 voto/sflag
    icon

    César
    el 24/12/17

    efectivamente poco se puede hacer




    thumb_up0 voto/sflag
  • icon

    Héctor
    el 23/12/17
    flag

    Unicoos ayudadme con esto por favor,


    replythumb_up0 voto/sflag
    icon

    Antonius Benedictus
    el 23/12/17


    thumb_up1 voto/sflag
  • icon

    Sergio_sza
    el 23/12/17

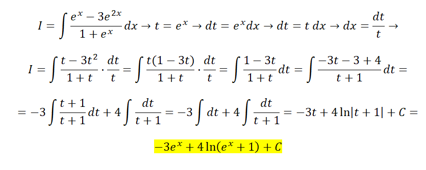
    Hola, buenas tardes, me gustaria,saber si el paso que he dado al principio de dividir en dos la,division 1-3t... es correcto, ya que no me coincide el resultado.Un saludo y gracias

    replythumb_up0 voto/sflag
    icon

    Antonius Benedictus
    el 23/12/17


    thumb_up1 voto/sflag
  • icon

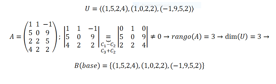
    Ylenia Montes
    el 23/12/17

    En el siguiente espacio vectorial R4, se considera U el subespacio vectorial generado por los vectores (1,5,2,4),(1,0,2,2),(-1,9,5,2)

    Necesito hallar una base de U y la dimension del subespacio U.

    ¿Alguien puede ayudarme? Muchas gracias,

    replythumb_up0 voto/sflag
    icon

    Antonius Benedictus
    el 23/12/17


    thumb_up1 voto/sflag