Foro de preguntas y respuestas de Matemáticas

logo beUnicoos
Los foros de unicoos se han unificado en nuestra nueva plataforma beUnicoos. Para dejar nuevas preguntas deberás hacerlo allí, donde además podrás encontrar nuevas asignaturas y herramientas para ayudarte más con tus estudios.

  • icon

    Sr.M
    el 21/12/17

    Hola buenas, me pueden decir si este ejercicio esta bien o si le falta algo ??? Es que he probado a corregirlo con matrix calculator pero no lo entiendo muy bien. Por favor !

    replythumb_up0 voto/sflag
    icon

    Antonius Benedictus
    el 22/12/17

    Está bien. Te queda probar que los tres autovectores son linealmente independientes.

    thumb_up1 voto/sflag
  • icon

    sergio ramirez salagre
    el 21/12/17

    Hola tengo una nueva confusión, por favor alguien me puede ayudar, gracias de ante mano :):):)


    replythumb_up0 voto/sflag
    icon

    Antonius Benedictus
    el 22/12/17


    thumb_up0 voto/sflag
  • icon

    Susana Fernandez Hiraldo
    el 21/12/17

    Buenos dias.

    No sé como hacer este problema:

    Tengo que calcular el tiempo que debemos tener colocado un capital de 6000€, a un interés compuesto del 5% anual para obtener 6945,75€.

    Para despejar el exponentd tengo que recurrir a los logaritmos y ahi me hago el lío padre

    replythumb_up0 voto/sflag
    icon

    César
    el 21/12/17


    thumb_up2 voto/sflag
  • icon

    Sandra mendez
    el 21/12/17

    Buenos dias, tengo un problema de sucesiones aritmeticas y les agradecería me pudieran ayudar... gracias =)

    En una sucesión aritmética , el primer término es 5, la razón 4 y el último término es 25. El número de términos que tiene la sucesión es...

    replythumb_up0 voto/sflag
    icon

    Ángel
    el 21/12/17

    a1=5

    r=4

    an= a1+(n-1)*r   --------->  an= 5+(n-1)*4 = 25   ------>    an= 5+4n-4 = 25   ----->  n=6  


    La sucesión tiene 6 términos:  5,9,13,17,21,25

    thumb_up2 voto/sflag
  • icon

    Pedro Matas Rubio
    el 21/12/17

    Buenas tardes,

    Necesito hacer la derivada primera y la derivada segunda de la función: f(x)=-1/(x2+x-2)

    Muchas gracias,


    replythumb_up0 voto/sflag
    icon

    Ángel
    el 21/12/17


    f(x)= - (1)/(x2+x-2)

    f´(x)= - (-(2x+1))/(x2+x-2)2

    f´(x)= (2x+1)/(x2+x-2)2


    f´´(x)= (2*(x2+x-2)2)-((2x+1)*(2*(x2+x-2)*(2x+1)) / (x2+x-2)4

    Te dejo de tarea la simplificación.

    thumb_up1 voto/sflag
  • icon

    Joaquín Benítez
    el 21/12/17

    Hola muy buenas gente, me podrian ayudar a resolver el siguiente ejercicio, me gustaría que fuera paso a paso, gracias de antemano:

     Resuelve la siguiente ecuación trigonométrica en el intervalo [0º,360º]

    5 sen x = 2

    replythumb_up0 voto/sflag
    icon

    Antonius Benedictus
    el 21/12/17


    thumb_up0 voto/sflag
    icon

    Joaquín Benítez
    el 22/12/17

    Antonio, gracias por la respuesta, pero tengo otras dudas:

    • ¿Cómo sabes que sólo pertenece al I y II cuadrante sen x = 2/5?
    • ¿Y que hay del III y IV cuadrante?
    • ¿Cómo puedo identificar si pertence a sus correspondientes  cuadrantes?


    thumb_up0 voto/sflag
  • icon

    Fátima
    el 21/12/17

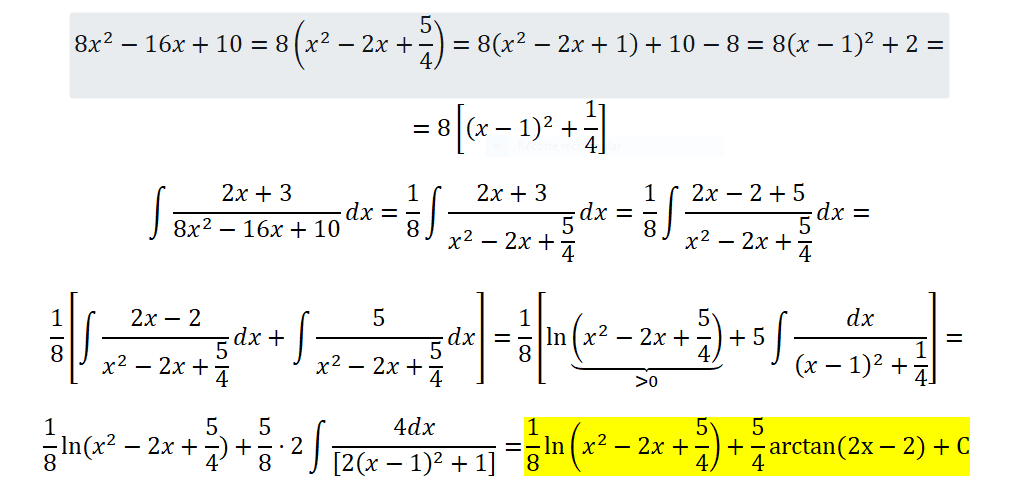
    Hola. Estoy  con integrales racionales...El grado del denominador es > que el grado del nominador, pero no es posible factorizar...Como lo hago?

    Integral de (2x+3)/(8x^2-16x+10) dx...No lo veo!

    replythumb_up0 voto/sflag
    icon

    Antonius Benedictus
    el 21/12/17


    thumb_up1 voto/sflag
    icon

    Fátima
    el 22/12/17

    Hola, muchas gracias...Bufff 

    Pero hay 1 paso que no entiendo...

    Cómo se pasa de 8(x^2 - 2x + 5/4) para 8(x^2 - 2x +1)+10 - 8 ?

    Cómo se puede tocar solo 1 elemento dentro de los parentesis?


    thumb_up0 voto/sflag
  • icon

    Elena
    el 21/12/17

    Holaa, me podeis ayudar con este ejercicio porfi, es que no se como se hace

    - En un estudio sobre discriminación de colores se a observado que las puntuaciones que obtienen los profesionales que trabajan en artes plásticas siguen una distribución N(80;10) mientras que las puntuaciones de los profesionales de otras áreas siguen una distribución N(60;20). Extrayendo de manera aleatoria e independiente un profesional de cada población, obtenga las probabilidades de que:

    a) Ambos tengan una puntuación como minimo igual a 67.5

    b)Ambos tengan una puntuación como minimo igual a 70

    replythumb_up0 voto/sflag
    icon

    Antonius Benedictus
    el 21/12/17


    thumb_up0 voto/sflag
  • icon

    Alejandro Cordero Benítez
    el 21/12/17

    Hola, muy buenas. 

    Tengo problemas enormes con este ejercicio y no sé cómo resolverlo, quizás sea porque no tengo bien cogido los conceptos de álgebra lineal, ahí voy:

    "Sabiendo que la aplicación lineal f tiene a (2, 0) como autovector asociado al autovalor = 2 y que el vector (0, 5) pertenece a Kerf. Calcula la fórmula de f."

    Desde ya: gracias de antemano.

    replythumb_up0 voto/sflag
    icon

    Antonius Benedictus
    el 21/12/17


    thumb_up0 voto/sflag
  • icon

    JUAN AMPIE
    el 21/12/17

    Hola me podrian ayudar con este problema


    replythumb_up0 voto/sflag
    icon

    Axel Morales Piñón.
    el 21/12/17

    Te resuelvo la integral sin límites de integración JUAN:

    thumb_up0 voto/sflag
    icon

    Antonius Benedictus
    el 21/12/17


    thumb_up1 voto/sflag
    icon

    JUAN AMPIE
    el 21/12/17

    Mil Gracias

    thumb_up0 voto/sflag