Foro de preguntas y respuestas de Matemáticas

logo beUnicoos
Los foros de unicoos se han unificado en nuestra nueva plataforma beUnicoos. Para dejar nuevas preguntas deberás hacerlo allí, donde además podrás encontrar nuevas asignaturas y herramientas para ayudarte más con tus estudios.

  • icon

    Ivan
    el 17/12/17

    Llevo mucho rato haciendo dos problemas de TRIGONOMETRIA y no me salen. Agradeceria la explicación de como hacerlo, el Martes tengo examen de trigonometria.


    1.      Calcula las tres razones trigonometricas del angulo -1100 en función de las razones trigonometricas de un angulo del primer cuadrante.  


    2.
       Siendo cos -1/2  ,  180 <alpha<270, calcula sin(180+alpha), cos(360- alpha) i tan(-alpha) sin calcular el angulo alpha  i  dejando los resultados en forma de fracción.



    Muchas gracias por la ayuda.


    replythumb_up0 voto/sflag
    icon

    Antonius Benedictus
    el 17/12/17

    icon

    Ivan
    el 17/12/17

    Comprendi el segundo ahora , pero el primero como puedo saber a que equivale -1100?


    thumb_up0 voto/sflag
    icon

    Antonius Benedictus
    el 17/12/17

    http://www.jorge-fernandez.es/proyectos/angulo/temas/teman/index.html#r6


    thumb_up1 voto/sflag
  • Usuario eliminado
    el 17/12/17

    Buenas tardes Unicoos/As quería saber como puedo hacer este ejercicio que me entra mañana en un examen pero no se hacerlo. GRACIAS

    Descubre la ley de recurrencia y añade un nuevo término a cada una de las siguientes sucesiones:

    a) 1, – 4, 5, –9, 14, –23, … (Diferencia)

    b) 1, 2, 3, 6, 11, 20, … (Relaciona cada elemento con los tres anteriores)

    c) 1; 2; 1,5; 1,75; … (Semisuma) d) 1, 2, 2, 1, 1/2, 1/2, 1, … (Cociente)

    d) 1, 2, 2, 1, 1/2, 1/2, 1, … (Cociente) .

    replythumb_up0 voto/sflag
    icon

    Antonius Benedictus
    el 17/12/17


    thumb_up1 voto/sflag

    Usuario eliminado
    el 17/12/17

    Muchas gracias Antonio Benito.

    De verdad, gracias que pases buenas tarde,

    thumb_up1 voto/sflag
  • icon

    ViRR
    el 17/12/17

    Buenas tardes, no sé cómo hay que hacer el siguiente ejercicio, ¿me pueden ayudar?:

    Calcula el valor de m para que:

    • Los puntos A(2, 0, -1), B(5, 2, -2) y C(1, m, m) pertenezcan a una misma recta.
    • Los puntos A(0, 1, 2), B(1, 0, 3), C(1, m, 1) y D(m, -1, 2m) pertenezcan a un mismo plano.

    ¡Muchísimas gracias!

    replythumb_up0 voto/sflag
    icon

    Antonius Benedictus
    el 17/12/17


    thumb_up0 voto/sflag
  • icon

    Carla Di Russo Flack
    el 17/12/17

    Hola, tengo una duda urgente con este ejercicio de integrales (área). Hallar el valor del área encerrada entre las curvas, y=(x^2)+2x , su recta tangente en el punto x=1 y la recta x=3. La respuesta es el área= 8/3. Pero no logro llegar al resultado, ayuda porfa!

    replythumb_up0 voto/sflag
    icon

    David
    el 17/12/17

    El área sería el siguiente representado gráficamente. Para resolver primero encontramos área de x^2+2x entre x=1 i x=3:

    Luego el área de la recta tangente de x^2+2x en x=1 entre x=1 i x=3:

    Luego simplemente restamos la segunda área a la primera:


    Saludos,


    David



    thumb_up0 voto/sflag
    icon

    Antonius Benedictus
    el 17/12/17


    thumb_up1 voto/sflag
  • icon

    Marcos
    el 17/12/17

    Hola, tengo una duda con análisis numérico

    El ejercicio dice:

    Determinar
    el paso h y el mínimo número de valores (nodos), en una tabla de
    valores igualmente espaciados de la función f(x) = √x, entre 1 y 2, si
    se utiliza interpolación CUADRATICA y se desean obtener 7 decimales
    correctos.

    Ángel, vos me respondiste esta duda pero con una interpolacion lineal. Como sería la cuadrática? Cambia lo de lagrange o que?


    Si me podrian ayudar se los agradecería


    replythumb_up0 voto/sflag
    icon

    Ángel
    el 17/12/17






    Quizá la manera más apropiada sea por ajuste de mínimos cuadrados, ¿te especificaron acerca del método a seguir?

    thumb_up0 voto/sflag
    icon

    Marcos
    el 17/12/17







    Asi lo hace mi profe y no lo entiendo por eso pregunte.

    Pero si lo entendes y me lo podes explicar buenisimo jaja..

    Espero que se fea bien



    thumb_up0 voto/sflag
    icon

    Ángel
    el 17/12/17

    Tu profe calcula n ayudándose  del error con el resto de polinomio de Taylor 

    https://www.youtube.com/watch?v=H80CxeWBYsg

    https://www.youtube.com/watch?v=JWcR0Ojs5UA

    thumb_up0 voto/sflag
    icon

    Marcos
    el 17/12/17

    Muchas gracias

    thumb_up0 voto/sflag
  • icon

    Álvaro
    el 17/12/17

    Hola, me podrían ayudar con este ejercicio:

    Calcula las coordenadas del baricentro del triángulo de vértices A (a1, a2, a3), B (b1, b2, b3) y C (c1,c2,c3

    replythumb_up0 voto/sflag
    icon

    David
    el 17/12/17

    Encuentras el punto medio del vector AB (M) y AC (N). Luego encuentras las rectas formadas por los vectores CM y BN. El último paso es simplemente igualar ambas rectas para encontrar el punto de intersección (baricentro).


    Saludos,


    David


    thumb_up0 voto/sflag
    icon

    Antonius Benedictus
    el 17/12/17


    thumb_up1 voto/sflag
  • icon

    Marcos
    el 17/12/17


    Hola me podrían ayudar con este teorema

    Pero necesito la desmotración de :

    Convergencia de Gauss-Seiddel por matriz estrictamente dominante diagonalmente por filas

    No lo encontre en internet a la demostración, si me alguien me la puede pasar se lo agradecería


    Recien  me pasaro el de Jacobi pero no estoy seguro qué cambiar y qué no , si me pueden ayudar se los agradecería

    replythumb_up0 voto/sflag
    icon

    Ángel
    el 17/12/17

    Es análogo (observa que en el método de Jacobi se emplea la letra D y en el de Gauss-Seidel una S)...pero básicamente es idéntico, sólo se cambian las letras para diferenciar a qué método hacemos referencia.


    thumb_up1 voto/sflag
  • icon

    anaespo
    el 17/12/17

    Cómo se harían el 115 y el 116??


    replythumb_up0 voto/sflag
    icon

    Antonius Benedictus
    el 17/12/17


    thumb_up0 voto/sflag
    icon

    Antonius Benedictus
    el 17/12/17


    thumb_up0 voto/sflag
  • icon

    Víctor López
    el 17/12/17

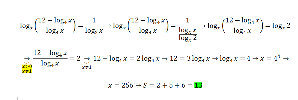
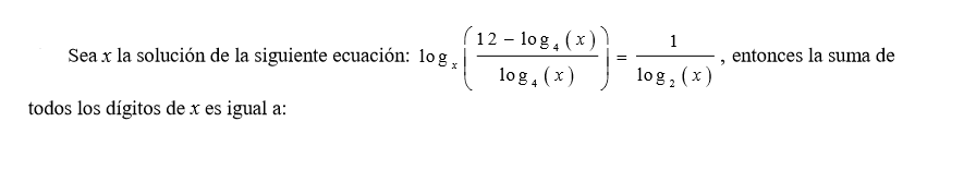
    Buenas tardes. Tengo una ecuación logarítmica que no tengo muy claro cómo resolver. ¡Muchas gracias! 

    replythumb_up0 voto/sflag
    icon

    Antonius Benedictus
    el 17/12/17


    thumb_up0 voto/sflag
  • icon

    Erick Zambrana
    el 17/12/17

    ayuda

    replythumb_up0 voto/sflag
    icon

    Antonius Benedictus
    el 17/12/17


    thumb_up1 voto/sflag