Foro de preguntas y respuestas de Matemáticas

logo beUnicoos
Los foros de unicoos se han unificado en nuestra nueva plataforma beUnicoos. Para dejar nuevas preguntas deberás hacerlo allí, donde además podrás encontrar nuevas asignaturas y herramientas para ayudarte más con tus estudios.

  • icon

    David Ru
    el 18/12/17

    Seria tan amable alguien de hacerme el desarrollo de la siguiente EDO , por más que lo intento no me sale , es la siguiente 

    y*dy -2*y^2 = e^x  ; con el cambio de variable u=y^2  , muchísimas gracias de antemano .

    replythumb_up0 voto/sflag
    icon

    Antonius Benedictus
    el 18/12/17

    Pon foto del original, que está incompleto.


    thumb_up1 voto/sflag
  • icon

    Adrian Mateos Hurtado
    el 18/12/17

    Hola, necesito ayuda para resolver este ejercicio


    replythumb_up0 voto/sflag
    icon

    Antonius Benedictus
    el 18/12/17


    thumb_up1 voto/sflag
  • icon

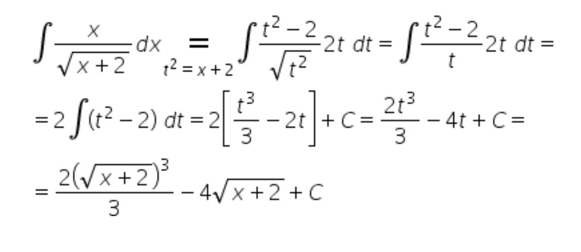
    Ana M Milan
    el 18/12/17






    Hola!!!

    Necesito ayuda para hacer esta integral... no sé ni por donde empezar. ¡Gracias!


    replythumb_up0 voto/sflag
    icon

    Antonio
    el 18/12/17


    thumb_up1 voto/sflag
  • icon

    Tomás Palmieri
    el 18/12/17

    Hola! Necesito ayuda para resolución del siguiente ejercicio ya que cuando lo resto me da cero! gracias.

    También quería corroborar si es correcta la siguiente respuesta,


    replythumb_up0 voto/sflag
    icon

    Ángel
    el 18/12/17

    17)

    Para h(x) simplemente tienes que sustituir g(x) por su propia expresión declarada en el enunciado, y f(3)= √3 .

    El dominio de h(x) es todo R, excepto el valor de x que haga 4x-3=0 verdadera, despejando obtenemos que x= 3/4, por lo que la opción a) es la correcta

    thumb_up0 voto/sflag
  • icon

    Guillermo Hernandez
    el 18/12/17

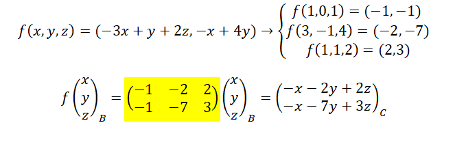
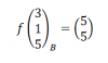
    Hola. Cómo se haría el apartado b)?. El a) creo que está bien, me da (-1,-1), (-2,7), (0,3). Gracias


    replythumb_up0 voto/sflag
    icon

    Antonius Benedictus
    el 18/12/17


    thumb_up0 voto/sflag
  • icon

    Facundo
    el 18/12/17

    Me dan una mano con este ejercicio? gracias


    replythumb_up0 voto/sflag
    icon

    Antonius Benedictus
    el 18/12/17


    thumb_up0 voto/sflag
  • icon

    Manuela Ramos
    el 18/12/17
    flag


    replythumb_up0 voto/sflag
    icon

    Antonius Benedictus
    el 18/12/17

    Foro de Química, por favor.

    thumb_up0 voto/sflag
  • icon

    sandra
    el 18/12/17

    Hola, cuando me piden por ejemplo este problema : calcula sen(2pi/5) con una precisión de 10^-3. Como se haría porque no se hasta que grado a hacerlo. Gracias

    replythumb_up0 voto/sflag
    icon

    Antonius Benedictus
    el 18/12/17

    Pon el enunciado original en su contexto (nivel, tema...)

    thumb_up0 voto/sflag
    icon

    sandra
    el 18/12/17

    el enunciado es ese y estoy dando serie de taylor 

    thumb_up0 voto/sflag
  • icon

    Nazaret Batista Ramirez
    el 18/12/17

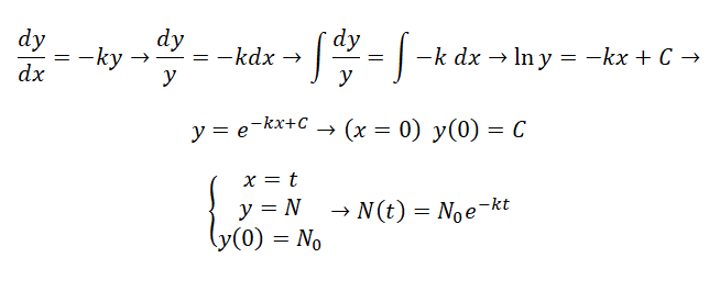
    Buenas tardes, necesito ayuda para resolver este problema a nivel de universidad mediante ecuaciones diferenciales:

    El Bario 133 (133Ba) es una sustancia radioactiva y se desintegra a una velocidad proporcional a la cantidad presente. La vida media (tiempo que tarda en desintegrarse la mitad de cualquier cantidad inicial) es de 10,53 aos. a) Determinar la ecuación diferencial que modeliza la evolución temporal de la cantidad de esta sustancia. b) Calcular la constante de desintegración. c) Averigua el tiempo que tarda 1 Kg de Bario 133 en reducirse a 1g.

    muchas gracias!

    replythumb_up0 voto/sflag
    icon

    Antonius Benedictus
    el 18/12/17


    thumb_up1 voto/sflag
    icon

    Nazaret Batista Ramirez
    el 18/12/17

    cómo sacas el modelo de la ecuación dierencial?

    thumb_up0 voto/sflag
    icon

    Antonius Benedictus
    el 18/12/17

    Me había olvidado de ponerlo:


    thumb_up1 voto/sflag