Foro de preguntas y respuestas de Matemáticas

logo beUnicoos
Los foros de unicoos se han unificado en nuestra nueva plataforma beUnicoos. Para dejar nuevas preguntas deberás hacerlo allí, donde además podrás encontrar nuevas asignaturas y herramientas para ayudarte más con tus estudios.

  • icon

    federico garcia
    el 12/12/17

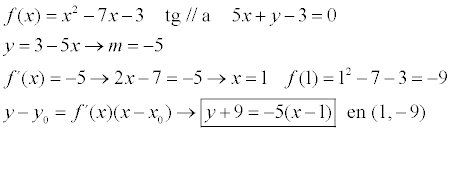
    hola se puede mirar este ejercicio,estara bien? gracias

    replythumb_up0 voto/sflag
    icon

    César
    el 12/12/17

    esta correcto federico

    thumb_up0 voto/sflag
  • icon

    Lucía Barrios
    el 12/12/17

    Podéis ayudarme. Gracias!

    replythumb_up0 voto/sflag
    icon

    César
    el 12/12/17


    thumb_up0 voto/sflag
  • icon

    marta
    el 12/12/17

    necesito ayuda con radicales!! alguién sabe algún esquema o algo, los radicales tienen propiedades??

    (2+3√2)²

    replythumb_up0 voto/sflag
    icon

    César
    el 12/12/17


    thumb_up0 voto/sflag
  • icon

    Mario
    el 12/12/17

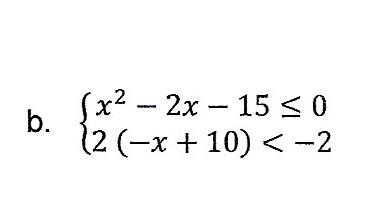
    Podeis ayudarme 

    Alguien me dice la solución de este sistema:


    replythumb_up0 voto/sflag
    icon

    César
    el 12/12/17

     no existe solucion


    thumb_up1 voto/sflag
    icon

    Mario
    el 12/12/17

    gracias cesar


    thumb_up0 voto/sflag
  • icon

    andres
    el 12/12/17

    buenas necesito ayuda para calcular la derivada utilizando la definición en x=1 de la función (x-1)/3. Gracias!

    replythumb_up0 voto/sflag
    icon

    Guillem De La Calle Vicente
    el 12/12/17


    thumb_up0 voto/sflag
  • icon

    María
    el 12/12/17

    Hola. Alguien podría ayudarme en esta ecuación?    Gracias.

    2 + cos2x = - 2senx

    replythumb_up0 voto/sflag
    icon

    Antonio
    el 12/12/17

    2 + cos2x = - 2 senx

    2 + (cos2x-sen2x) = - 2senx

    2 + cos2x - sen2x + 2senx =0

    2 + (1-sen2x) - sen2x + 2senx =0

    2 + 1-sen2x - sen2x + 2senx =0

    -2sen2x + 2senx +3=0

    t=senx

    -2t2 + 2t +3=0

    t1=(1+√7)/2 => senx=(1+√7)/2 #

    t2=(1+√7)/2 => senx=(1-√7)/2 => x=arcsen(1-√7)/2 

    por lo tanto:

    x1 = 2πk + arcsen[(1-√7)/2] (cuarto cuadrante)

    y

    x2 = 2πk + π - arcsen[(1-√7)/2] (tercer cuadrante)


    thumb_up0 voto/sflag
  • icon

    Mario
    el 12/12/17

    Alguien puede resolverme esta ecuación.

    2 log x - log (x - 16) = 2

    replythumb_up0 voto/sflag
    icon

    Antonio
    el 12/12/17

    2 log x - log (x - 16) = 2

    log x2 - log (x - 16) = 2

    log [x2 / (x - 16) ]= 2

    x2 / (x - 16) =100

    x2 = 100 (x - 16)

    x2 - 100x + 1600 = 0

    x = 80;  x = 20

    thumb_up1 voto/sflag
    icon

    Ángel
    el 12/12/17

    2 log x - log (x - 16) = 2

    log x= 2 +log(x-16)

    log x= log(100) +log(x-16)

    log x= log(100*(x-16))

    x= (100*(x-16))

    x-100x+1600=0

    x1= 80 (válida)

    x2= 20 (válida)


    thumb_up1 voto/sflag
  • icon

    Lucía Barrios
    el 12/12/17

    Podría alguien ayudarme. Uso el método de L'Hopital. Muchas gracias.

    replythumb_up0 voto/sflag
    icon

    César
    el 12/12/17

    Límite logaritmico

    mirate este video

    thumb_up0 voto/sflag
  • icon

    sergio ramirez salagre
    el 12/12/17

    hola alguien me podría ayudar con el siguiente problema, muchas gracias:

    Se quiere dividir la región plana encerrada entre la parábola y=x^2 y la recta y=1 en 2 regiones de igual área mediante una recta y=a. Hallar el valor de a.

    replythumb_up0 voto/sflag
    icon

    Antonio
    el 12/12/17


    thumb_up0 voto/sflag
    icon

    sergio ramirez salagre
    el 12/12/17

    lo siento, pero no entiendo de donde sale la raiz de a

    thumb_up0 voto/sflag
    icon

    Antonio
    el 12/12/17

    la segunda integral es desde 0 hasta √a, pues (√a,a) es el punto de corte de la gráfica de y=x^2 y la recta y=a.

    thumb_up0 voto/sflag
  • icon

    selenia
    el 12/12/17

    hola buenas, como podría averiguar el dominio de una función a través de una gráfica?

    replythumb_up0 voto/sflag
    icon

    Ángel
    el 12/12/17

    Pertenece al dominio el trazado de la gráfica a lo largo del eje horizontal de las "x" .

    Donde haya discontinuidades o no esté definida la función (o en otras palabras: el plano esté en blanco o no esté trazada la gráfica) no habrá pertenencia al dominio.

    thumb_up0 voto/sflag