
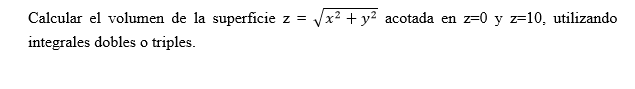
Observa que tienes un sólido (B) limitado superiormente por un disco circular incluido en el plano cuya ecuación es:
z =10,
e inferiormente por un semicono circular recto superior con vértice en el origen y eje OZ, cuya ecuación es:
z = √(x2 + y2),
y observa que si planteas la intersección en tre el semicono y el plano, tienes el sistema de ecuaciones:
x2 + y2 = 100
z = 10,
que corresponde a una circunferencia con centro en el punto C(0,0,10) y radio 10, incluida en el plano.
Luego, tienes el intervalo de integración para la variable z:
√(x2 + y2) ≤ z ≤ 10.
Luego, plantea la integral triple para el volumen (observa que indicamos con R a la región de proyección del sólido sobre el plano OXY):
V = ∫∫∫B 1*dz*dx*dy = integras para z = ∫∫B [z]*dx*dy = evalúas = ∫∫B (10 - √(x2 + y2)*dx*dy.
Luego, observa que la región R es un disco circular en el plano OXY, con centro en el origen y radio 10, por lo que planteas el cambio a coordenadas polares (observa que tienes los intervalos de integración: 0 ≤ r ≤ 10, 0 ≤ θ ≤ 2π, y el factor de compensación (Jacobiano): |J| = r), y queda:
V = ∫∫B ( 10 - √(r2) )*r*dr*dθ = ∫∫B (10 - r )*r*dr*dθ = ∫∫B (10*r - r2 )*dr*dθ = integras para r = ∫ [5*r2 - r3/3]*dθ = resuelves para r:
= ∫ [5*102 - 103/3]*dθ = (500 - 1000/3)*∫ 1*dθ = resuelves para θ:
= (500/3)*[θ] = (500/3)*(2π - 0) = 1000π/3.
Espero haberte ayudado.
Me pueden resolver esta ecuación:
-1000x^5 + 300x^4 + 300x^3+ 300x^2+300x+300
Tienes que utilizar métodos numéricos (Newton-Raphson-Fourier)
https://www.youtube.com/watch?v=tX9ecFstUUk

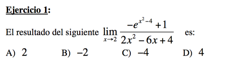
Tienes el límite:
L = Lím(x→2) (-ex^2 - 4 + 1) / (2x2 - 6x + 4),
y observa que tienes un límite indeterminado, porque tanto el numerador como el denominador tienden a cero, cuando x tiende a 2.
Luego, aplicas la Regla de L'Hôpital (derivas independientemente en el numerador y en el denominador), y queda:
L = Lím(x→2) (-ex^2 - 4 *2x) / (4x - 6) = evalúas = (-e0*4)/(8 - 6) = -4/2 = -2.
Luego, tienes que la opción (B) es la respuesta correcta.
Espero haberte ayudado.
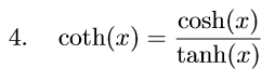
¿ cotgh(x)=(cosh(x))/(tanh(x)) ?
(ex+e-x)/(ex-e-x)= ((ex+e-x)/2)/((ex-e-x)/(ex+e-x))
(ex+e-x)/(ex-e-x)= ((ex+e-x)2/(2(ex-e-x))
(ex+e-x)*(2(ex-e-x)) = (ex-e-x)*(ex+e-x)2
(ex+e-x)*(2ex-2e-x) = (ex-e-x)*(e2x+e-2x-2(ex*e-x))
2e2x-2e-2x = (ex-e-x)*(e2x+e-2x-2)
2e2x-2e-2x = e3x+e-x-2ex-ex-e-3x+2e-x
2e2x-2e-2x ≠ e3x-e-3x+3e-x-3ex
(2e2x-2e-2x)/(2e2x-2e-2x) = (e3x-e-3x+3e-x-3ex)/(2e2x-2e-2x)
1 ≠ (e3x-e-3x+3e-x-3ex)/(2e2x-2e-2x)
Entonces cotgh(x) ≠ (cosh(x))/(tanh(x))
Hola ,una ayuda con esta derivada
f(x)= ln(√1-cos x ⁄ √1+cosx)

Tienes la expresión de la función:
f(x) = ln( √(1-cosx) / √(1+cosx) );
luego, puedes "preparar" la expresión de la función antes de derivar, y para ello:
aplicas la propiedad del logaritmo de una división, y queda:
f(x) = ln( √(1-cosx) ) - ln( √(1+cosx) ),
luego, aplicas la propiedad del logaritmo de una raíz en ambos términos, y queda:
f(x) = (1/2)*ln(1-cosx) - (1/2)*ln(1+cosx).
Luego, derivas (observa que puedes derivar cada término por separado, y que en ambos debes aplicar la Regla de la Cadena), y queda:
f ' (x) = (1/2)*( senx/(1-cosx) ) - (1/2)*( -senx/(1+cosx) ),
luego, a fin de reducir a la mínima expresión:
resuelves signos en el segundo término, y queda:
f ' (x) = (1/2)*( senx/(1-cosx) ) + (1/2)*( senx/(1+cosx) ), extraes factores comunes, y queda:
f ' (x) = (1/2)*senx*( 1/(1-cosx) + 1/(1+cosx) ), extraes denominador común en el agrupamiento, y queda:
f ' (x) = (1/2)*senx*( (1+cosx + 1-cosx) / (1-cosx)(1+cosx) ),
reduces términos semejantes en el numerador (observa que tienes cancelaciones), resuelves el producto en el denominador, y queda:
f ' (x) = (1/2)*senx*( 2/(1-cos2x) ),
resuelves factores numéricos, aplicas la identidad del cuadrado del seno en función del cuadrado del coseno en el denominador, y queda:
f ' (x) = senx/sen2x,
simplificas, y queda:
f ' (x) = 1/senx.
Espero haberte ayudado.
Buenos días, me podrían ayudar en este ejercicio? No se por donde empezar, y si no se saltan los pasos lo entiendo. Gracias.![]()

Tienes las ecuaciones cartesianas implícitas de los planos, cuyos vectores normales quedan expresados: nα = < -1 , 2 , 1 > y nβ = < 0 ,-2 , 1 >.
a)
Para determinar las coordenadas de los puntos de intersección del plano α con los ejes coordenados, vas anulando de a dos incógnitas en su ecuación, y vas despejando la tercera, y tienes: x = 2, y = -1, z = -2, por lo que los puntos tienen coordenadas: A(2,00), B(0,-1,0) y C(0,0-2).
Luego, observa que el tetraedro es una pirámide cuya base es el triángulo rectángulo AOB, y cuya altura es 0C.
Luego, plantea las expresiones de los vectores correspondientes a los lados del tetraedro que están sobre los ejes coordenados:
OA = < 2 , 0 , 0 >, OB = < 0 , -1 , 0 > y OC = < 0 , 0 , -2 >.
Luego, tienes para el área de la base del tetraedro (te dejo los cálculos):
AAOB = |OAxOB| = |< 0 , 0 , -2 >| = 2 (expresada en unidades de superficie).
Luego, tienes para la longitud de la altura del tetraedro:
h = |OC| = |< 0 , 0 , -2 >| = 2 (expresada en unidades de longitud).
Luego, plantea la expresión del volumen del tetraedro (pirámide recta con lados triangulares):
VT = (1/3)*AAOB*h = (1/3)*|OAxOB|*|OC| = (1/3)*2*2 = 4/3 (expresado en unidades de volumen).
b)
Observa que la recta es paralela a los dos planos a la vez, por lo que su vector director debe ser perpendicular a los dos vectores normales a los planos, por lo que puedes plantear que el vector director de la recta es igual al producto vectorial entre los dos vectores normales a los planos:
u = nαxnβ = < -1 , 2 , 1 > x < 0 ,-2 , 1 > = < 4 , 1 , 2 >;
luego, tienes que el punto P(0,-1,3) pertenece a la recta, por lo que puedes plantear sus ecuaciones cartesianas simétricas (o continuas):
( x-0 )/4 = ( y-(-1) )/1 = ( z-3)/2, reduces expresiones, y queda:
x/4 = y + 1 = (z - 3)/2.
Espero haberte ayudado.
Hola, alguien me podría ayudar en este ejercicio sin saltarse ningún paso para que no me pierda? Gracias de antemano.![]()

Tienes la ecuación cartesiana implícita del plano, y de ella tienes la expresión de su vector normal: n = < 1 , -1 , -a >.
Tienes las ecuaciones cartesianas simétricas (o continuas) de la recta, luego igualas cada uno de sus miembros a un parámetro t, luego despejas,
y tienes las ecuaciones cartesianas paramétricas de la recta:
x = 3t+2
y = -5t
z = 2t,
con t ∈ R,
cuyo vector director es: u = < 3 , -5 , 2 >.
a)
Plantea la condición de paralelismo entre recta y plano (observa que el vector director de la recta debe ser perpendicular al vector normal al plano, por lo que el producto escalar entre dichos vectores debe ser igual a cero), y tienes la ecuación vectorial:
u•n = 0, sustituyes expresiones, y queda:
< 3 , -5 , 2 >•< 1 , -1 , -a > = 0, desarrollas el producto escalar, y queda:
3*1 - 5*(-1) + 2*(-a) = 0, resuelves términos, reduces términos semejantes, y queda:
8 - 2*a = 0, haces pasaje de término, y queda:
- 2*a = - 8, haces pasaje de factor como divisor, y queda:
a = 4.
b)
Vamos por pasos:
1°)
Plantea la ecuación del plano que es perpendicular a la recta (observa que su vector normal es el vector director de la recta), y que pasa por el punto P(1,2,3):
3*(x-1) - 5*(y-2) + 2*(z-3) = 0, distribuyes en todos los términos, reduces términos numéricos, y queda:
3*x - 5*y + 2*z + 1 = 0.
2°)
Plantea la intersección entre la recta y este plano, y para ello sustituyes las expresiones paramétricas de la recta en la ecuación del plano, y queda:
3*(3t+2) - 5*(-5t) + 2*(2t) + 1 = 0, distribuyes, reduces términos semejantes, y queda:
38*t + 7 = 0, haces pasaje de término, luego haces pasaje de factor como divisor, y queda:
t = -7/38;
luego, reemplazas en las ecuaciones cartesianas paramétricas de la recta, y queda:
x = 3*(-7/38) + 2 = -21/38 + 2 = 55/38,
y = -5*(-7/38) = 35/38,
z = 2*(-7/38) = -14/38 = -7/19,
por lo que tienes el punto de intersección entre la recta y el plano perpendicular a ella que pasa por el punto P, que queda expresado: A(55/38,35/38,-7/19).
3°)
Tienes que la distancia entre la recta y el punto P es igual a la distancia entre el punto P y el punto A, por lo que puedes plantear:
d(P,r) = d(P,A) = √( (55/38-1)2 + (35/38-2)2 + (-7/19-3)2 ) = √( (17/38)2 + (-41/38)2 + (-64/19)2 ) = √(18354/1444) = √(9177/722) ≅ 3,565.
Espero haberte ayudado.

Tienes la inecuación:
(2*v02/g)*cos(2θ) > 0,
observa que el factor encerrado entre paréntesis es positivo, haces el pasaje como divisor, y queda:
cos(2θ) > 0,
luego, recuerda que el coseno es positivo en el primer cuadrante (y en el cuarto),
por lo que puedes plantear:
0 < 2θ < π/2 o 3π/2 < θ < 2π, divides por 2 en todos los miembros de la doble inecuación , y queda:
0 < θ < π/4 o 3π/4 < θ < π,
luego, la expresión es positiva en el intervalo remarcado.
Espero haberte ayudado.