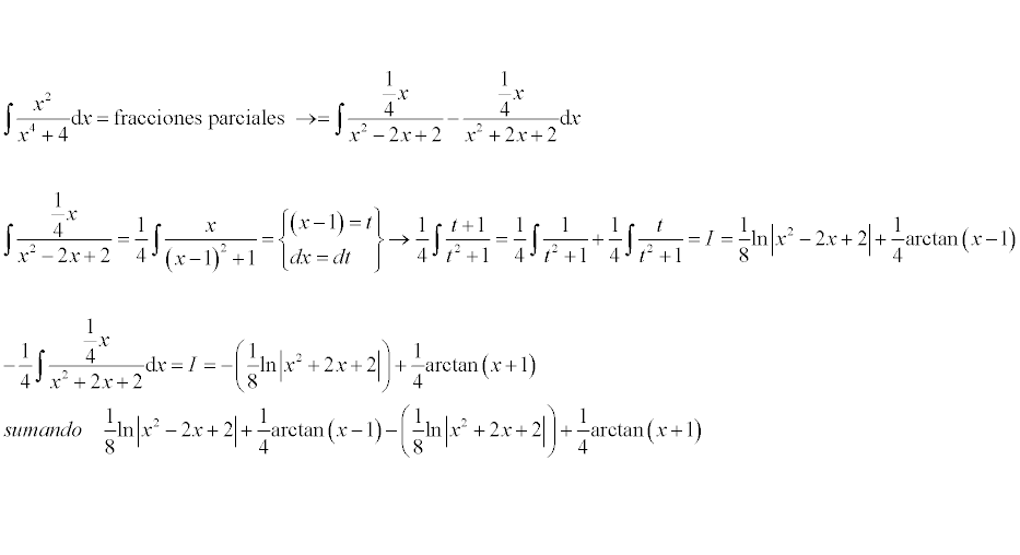
Buenas tardes, ¿podrías desarrollar esta integral? no entiendo su solución :
integral x^2 /( 4+x^4) dx
La solucion la he sacado de : https://www.wolframalpha.com/input/?i=integral+sqrt(t)+%2F+(4%2Bt%5E2)+dt
En la página,¿ están los vídeos de matemáticas -expresiones algebraicas? ¿O solo en YouTube?
En el link https://www.unicoos.com/cursos/2-eso/matematicas tienes estos 4 vídeos en el bloque Expresiones Algebraicas:
https://www.unicoos.com/video/matematicas/2-eso/expresiones-algebraicas/polinomios/factor-comun
inecuaciones de segundo grado puedes explicarme como se hacen estas ecuaciones 6x-2(x+3)+x<x(5-x)-7
6x-2(x+3)+x < x(5-x)-7
Quitamos paréntesis:
6x-(2x+6)+x < (5x-x2)-7
6x-2x-6+x < 5x-x2-7
Juntamos términos con x a un lado y sin x al otro:
x2+6x-2x+x-5x < -7+6
Obtenemos la inecuación de segundo grado:
x2 < -1
"Resolvemos":
No tiene solución, porque x2 es igual o mayor que cero para cualquier valor de equis y por extensión, mayor que -1, entonces x2 < -1 es FALSO.
ayudaa
de una banda transportadora cae arena a razon de 10m3/min sobre una pila de arena de forma conica. la altura de la pila es siempre tres octavos del diametro de la base. con que rapidez cambian la altura y el radio cuando la pila tiene 4m de altura?