
Observa que el volumen sumergido es una quinta parte del volumen exterior, por lo tanto tienes:
Vs = (1/5)*(4/3)π*Re3 = (4/15)*π*Re3.
Observa que la Masa del objeto puede expresarse como la densidad del material que lo conforma, multiplicado por la diferencia entre su volumen exterior y su volumen interior:
M = δAl*(Ve - Vi) = δ*( (4/3)π*Re3 - (4/3)π*Ri3 ) = (4/3)π*δAl*( Re3 - Ri3 ).
Luego, plantea la condición de equilibrio entre el peso del cuerpo y el empuje del líquido:
P = E, sustituyes las expresiones del peso y del empuje, y queda:
M*g = δL*Vs*g, haces pasaje de factor como divisor, sustituyes la expresión de la masa del cuerpo, y queda:
(4/3)π*δAl*( Re3 - Ri3 ) = δL*Vs, sustituyes la expresión del volumen sumergido, y queda:
(4/3)π*δAl*( Re3 - Ri3 ) = δL*(4/15)*π*Re3, multiplicas en ambos miembros por 15/(4π), y queda:
5*δAl*( Re3 - Ri3 ) = δL*Re3, distribuyes en el primer miembro, y queda:
5*δAl*Re3 - 5*δAl*Ri3 = δL*Re3, haces pasaje de término, y queda:
- 5*δAl*Ri3 = δL*Re3 - 5*δAl*Re3, multiplicas en todos los términos de la ecuación por -1, y queda:
5*δAl*Ri3 = - δL*Re3 + 5*δAl*Re3, extraes factor común en el segundo miembro, y queda:
5*δAl*Ri3 = (- δL + 5*δAl) *Re3, haces pasajes de factores como divisores, y queda:
Ri3 = (- δL + 5*δAl) *Re3/(5*δAl), haces pasaje de potencia como raíz, y queda:
Ri = ∛( (- δL + 5*δAl) *Re3/(5*δAl) ), extraes el factor cúbico fuera de la raíz cúbica, y queda:
Ri = ∛( (- δL + 5*δAl) )/(5*δAl) )*Re.
Luego, reemplazas valores, y queda:
Ri = ∛( (- 1 + 5*2,7)/(5*2,7) )*20 = ∛(12,5/13,5)*20 ≅ 0,929243*20 ≅ 18,404852 cm.
Espero haberte ayudado.
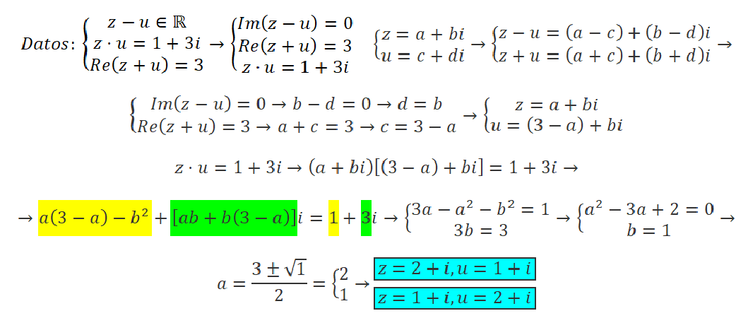
Me podríais ayudar con este ejercicio?
Calcula el valor de dos complejos sabiendo que su diferencia es un numero real, que su producto vale 1+3i y que la parte real de la suma vale 3.
Gracias.

Puedes plantear las expresiones de los números complejos en forma binómica:
z = a + bi,
w = c + di,
con a, b, c y de números reales.
Luego, tienes en tu enunciado:
z - w = a + bi - (c + di) = a + bi - c - di = (a-c) + (b-d)i es un número real,
por lo que tienes que su parte imaginaria es igual a cero:
b - d = 0, haces pasaje de término, y queda: b = d (1).
z*w = 1+3i, sustituyes expresiones, y queda: (a+bi)*(c+di) = 1+3i (2).
z + w = a + bi + c + di = (a+c) + (b+d)i, cuya parte real es igual a tres,
por lo que tienes: a + c = 3, haces pasaje de término, y queda: a = 3 - c (3).
Luego, sustituyes las expresiones señaladas (1) (3) en la ecuación señalada (2), y queda:
( (3-c) + di )*(c + di) = 1 + 3i, desarrollas el primer miembro, y queda:
c*(3-c) - d2 + d*(3-c) + c*d = 1 + 3i,
luego, por igualdad entre números complejos, tienes el sistema de ecuaciones:
c*(3-c) - d2 = 1
d*(3-c) + c*d = 3,
desarrollas los primeros miembros, reduces términos semejantes, y queda
3c - c2 - d2 = 1
3d = 3, aquí haces pasaje de factor como divisor, y queda: d = 1, reemplazas en la ecuación señalada (1), y queda: b = 1;
luego, reemplazas en la primera ecuación, haces pasaje de término, ordenas términos, y queda:
-c2 +3c - 2 = 0, multiplicas a todos los términos de la ecuación por -1, y queda:
c2 - 3c + 2 = 0, que es una ecuación polinómica cuadrática, cuya soluciones son:
1°)
c = 1, reemplazas en la ecuación señalada (3), y queda: a = 2,
luego, las expresiones de los números complejos quedan:
z = 2 + i,
w = 1 + i;
2°)
c = 2, reemplazas en la ecuación señalada (3), y queda: a = 1,
luego, las expresiones de los números complejos quedan:
z = 1 + i,
w = 2 + i.
Luego, observa que, más allá de sus nombres, tienes que la solución es única, ya que en las dos opciones se ha llegado a los mismos números complejos.
Espero haberte ayudado.
Buenas tardes, alguien me podría ayudar con este ejercicio?
Muchas gracias
Traduccion: a) Encuentra la ecuación de AB b) Encuentra la ecuación de BC c)encuentra la distancia más cercana posible a d, reducida a un decimal. d)encuentra las coordenadas de C, el punto donde B, aterriza en el banco opuesto![]()
Manda tu intento de resolución y te ayudamos.
**Si estás hablando de swimmers (=nadadores), estos no suelen aterrizar en bancos :D
where B lands on the opposite bank ≠ donde B aterriza en el banco opuesto
where B lands on the opposite bank = donde B llega a la orilla opuesta
https://www.aprendeinglessila.com/2013/01/false-friends-los-falsos-amigos-del-ingles-2/
"¿y el B seria, con la inclinación del a(porque son perpendiculares), y el punto b y aplicamos la formula y-y1=m(x-x1) no?"
Sí
"En el a, si sustituyes x e y por o(0,0), debería dar 0 y no da "
Mi forma
y=(-4/5)*x en x=0 ----> y(0)=(-4/5)*(0) ---->y(0)=0 -----> (0,0)
Tu forma
x=0 ----> 4x+5y=0 ----> 4*0+5y=0 ----> 0+5y=0 -----> 5y=0 -----> y=0/5 = 0 -----> (0,0)
Parece que sí da...

Observa que tienes una integral impropia, debido a que la función no está definida en x = -1.
Luego, puedes plantear la sustitución (cambio de variable):
1 + x = w, de donde tienes:
x = w - 1, y también tienes:
dx = dw,
y observa que el intervalo de integración queda: -1 ≤ w ≤ 1, con un punto impropio: w = 0.
Luego, tienes la integral:
I = -2∫0 dx/|∛(x+1)| = sustituyes = -1∫1 dw/|∛(w)|.
Luego, plantea la suma de integrales:
I = I1 + I2 = -1∫0 dw/|∛(w)| + 0∫1 dw/|∛(w)|.
Luego, plantea cada integral por separado, y reemplaza el límite impropio por una indeterminada:
I1 = -1∫a dw/|∛(w)| = observa que la función toma valores negativos:
= -1∫a dw/(-∛(w)) = - -1∫a w-1/3*dw = - (3/2)*[w2/3] = evalúas = - (3/2)*( a2/3 - (-1) ) = - (3/2)*(a2/3 + 1);
luego, tomas el límite para a tendiendo a 0 por la izquierda, y queda:
I1 = Lím(x→0-) ( - (3/2)*(a2/3 + 1) ) = -3/2.
I2 = b∫1 dw/|∛(w)| = observa que la función toma valores positivos:
= b∫1 dw/∛(w) = b∫1 w-1/3*dw = (3/2)*[w2/3] = evalúas = (3/2)*( 1 - b2/3 );
luego, tomas el límite para b tendiendo a 0 por la derecha, y queda:
I2 = Lím(x→0+) (3/2)*( 1 - b2/3 ) = 3/2.
Luego, tienes finalmente:
I = I1 + I2 = -3/2 + 3/2 = 0.
Espero haberte ayudado.
Hola , he estado viendo los videos de tecnologia y he visto que no hay examenes como en las otras asignaturas, me gustaria saber si van a hacerlos porque me vienen bastante bien para estudiar o si podéis alguien mandarme algun ejercicio o algo lo encontraría de gran ayuda . Gracias!!!